🇳🇴 🇬🇧 🇩🇪 🇨🇿 🇫🇮

Meteor, poloha: Blovstrød 2022-09-15 19:14:17 UTC

Soubor KML  |  InteraktivnĂ­ mapa

Mapa zobrazuje dráhy meteoru. Světlejší čáry ukazují směry od pozorovacích stanic při objevení se meteoru a tmavší čáry, kde byl naposledy viděn. Modrá šipka značí viditelnou dráhu meteoru.

static map
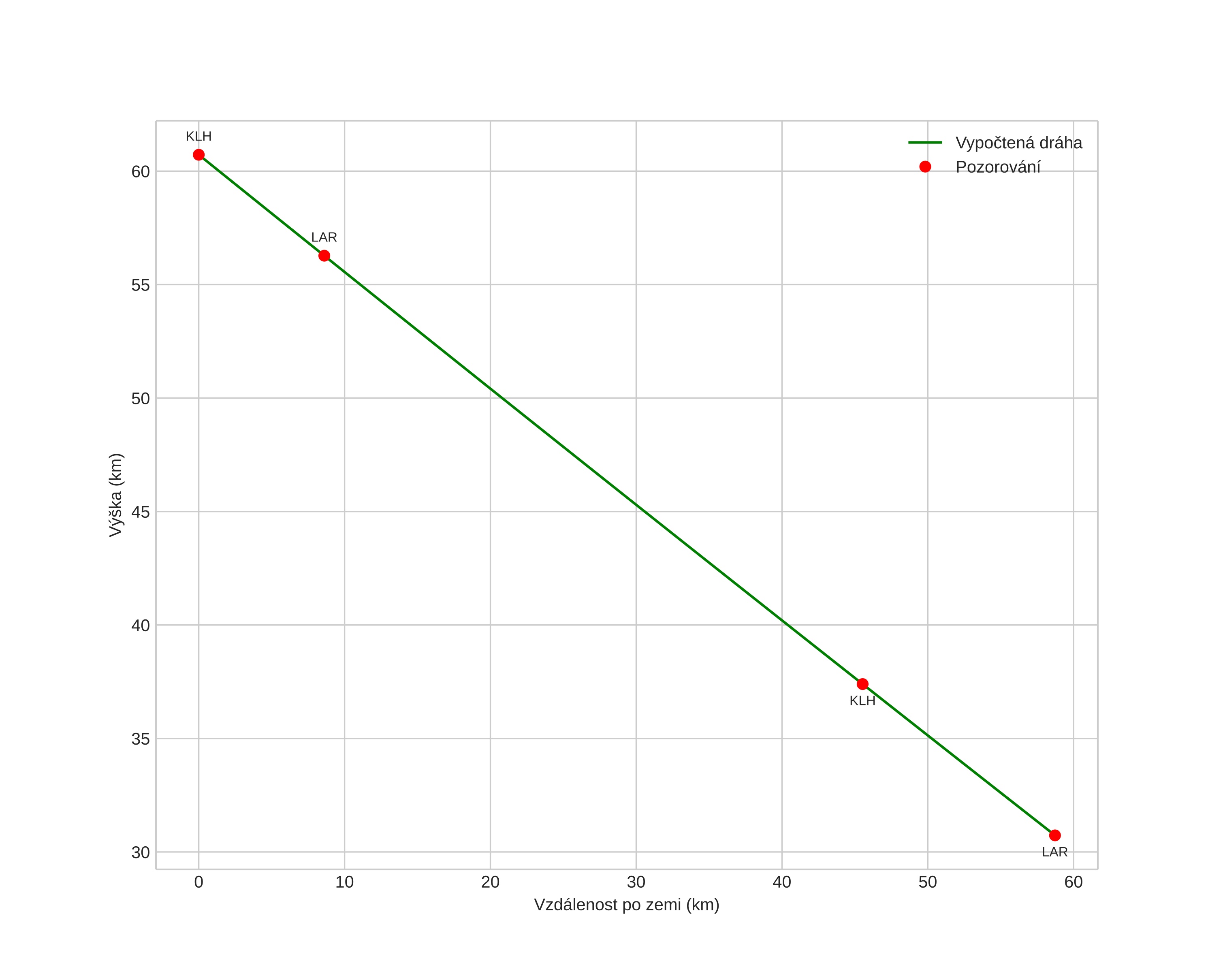
height profile
Atmosférická dráha meteoru:
Počáteční výška: 60,7 km
Konečná výška: 30,7 km
Počáteční poloha: 55,352N 12,207E
Konečná poloha: 55,871N 12,378E
Směr: 10,5°
Sklon: 27,1°
VstupnĂ­ rychlost: 15,2 km/s
Rektascenze radiantu: 18:52 (283,2°)
Deklinace radiantu: -20,1°
MeteorickĂ˝ roj: sporadickĂ˝
Elementy dráhy meteoroidu:
Vzdálenost v periheliu: 0,994 AU
Excentricita: 0,784
Sklon dráhy: 0,7°
Délka vzestupného uzlu: 172,6°
Argument perihelia: 193,1°
Střední anomálie: 359,0°
Epocha: 2022 SEP 15 19:14:17
orbit plot

NeinteraktivnĂ­ graf | InteraktivnĂ­ graf

position vs time
speed and acceleration