🇳🇴 🇬🇧 🇩🇪 🇨🇿 🇫🇮

Meteor Blovstrødin yllä 2022-09-15 19:14:17 UTC

KML-tiedosto  |  Interaktiivinen kartta

Kartta näyttää meteorin suuntahavainnot. Vaaleammat viivat näyttävät suunnat havaintoasemilta meteorin ilmestyessä, ja tummemmat viivat näyttävät, missä se viimeksi nähtiin. Sininen nuoli näyttää meteorin näkyvän lennon.

static map
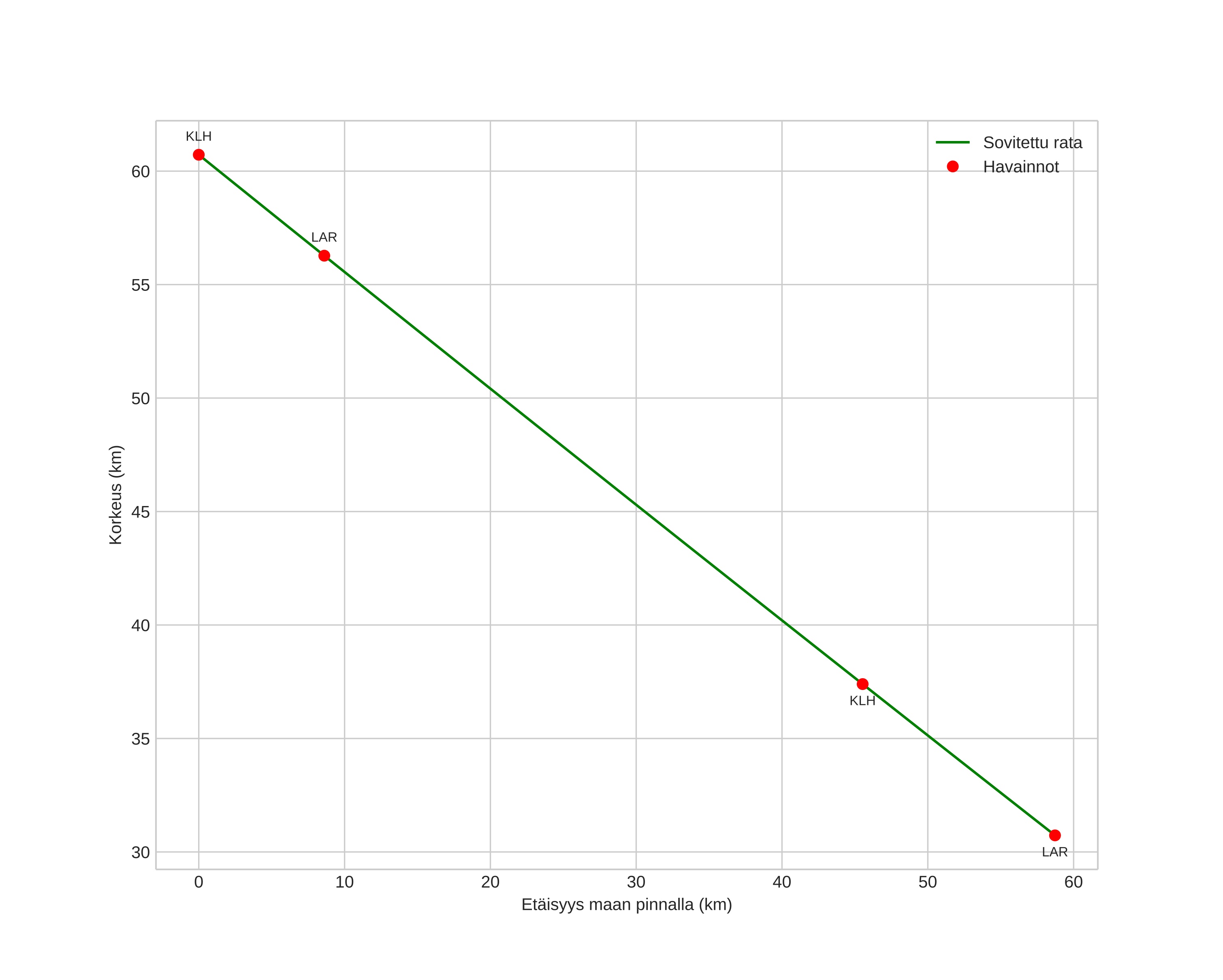
height profile
Meteorin ilmakehärata:
Alkukorkeus: 60,7 km
Loppukorkeus: 30,7 km
Alkupiste: 55,352N 12,207E
Loppupiste: 55,871N 12,378E
Suunta: 10,5°
Kallistuskulma: 27,1°
Tulonopeus: 15,2 km/s
Radiantin R,A,: 18:52 (283,2°)
Radiantin Dekl,: -20,1°
Meteoriparvi: Sporadinen
Meteoroidin rataelementit:
Perihelietäisyys: 0,994 AU
Eksentrisyys: 0,784
Inklinaatio: 0,7°
Nousevan solmun pituus: 172,6°
Perihelin argumentti: 193,1°
Keskianomalia: 359,0°
Epookki: 2022 SEP 15 19:14:17
orbit plot

Ei-interaktiivinen kuvaaja | Interaktiivinen kuvaaja

position vs time
speed and acceleration