🇳🇴 🇬🇧 🇩🇪 🇨🇿 🇫🇮

Meteor, poloha: Kragerø 2022-09-16 00:36:44 UTC

Soubor KML  |  InteraktivnĂ­ mapa

Mapa zobrazuje dráhy meteoru. Světlejší čáry ukazují směry od pozorovacích stanic při objevení se meteoru a tmavší čáry, kde byl naposledy viděn. Modrá šipka značí viditelnou dráhu meteoru.

static map
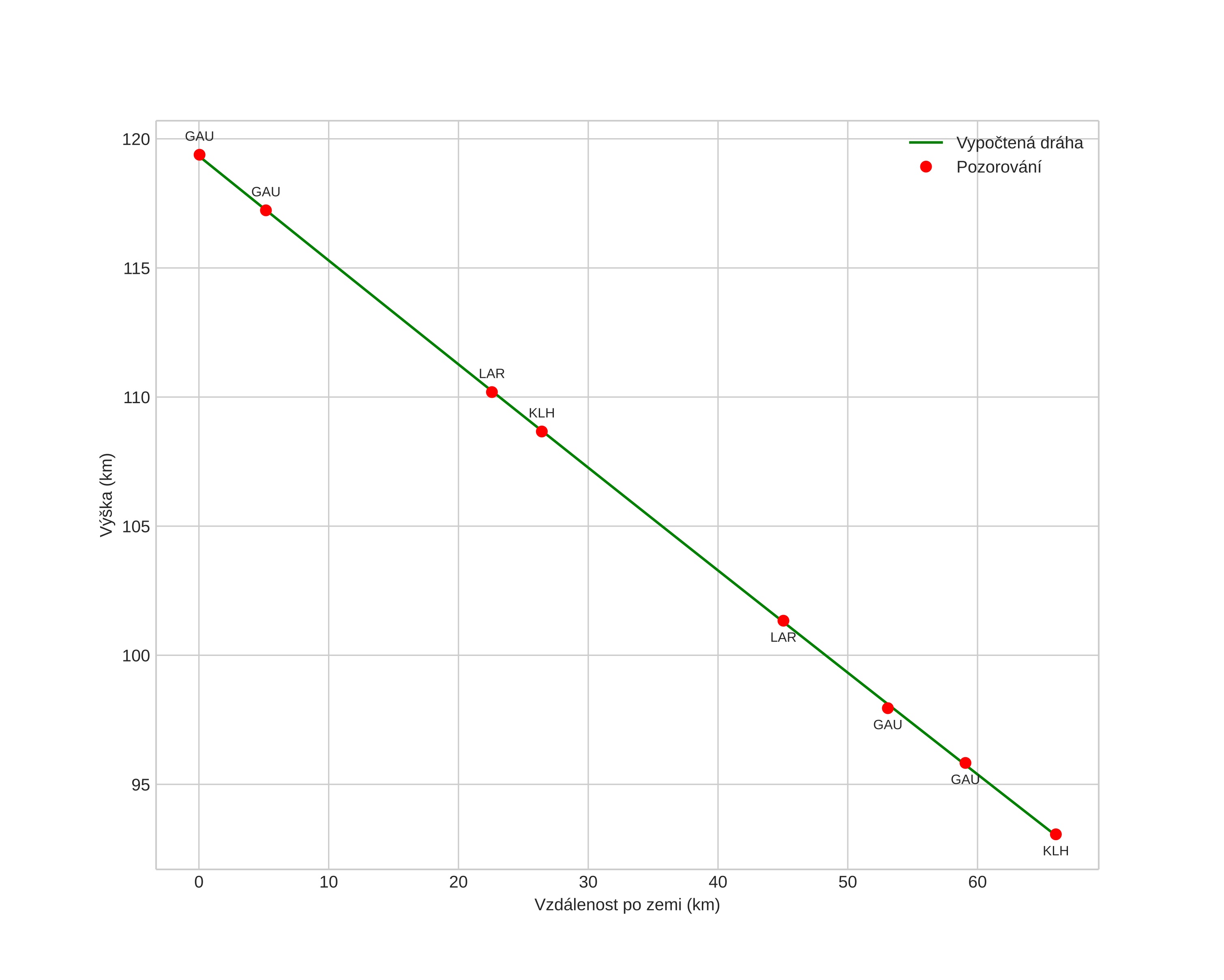
height profile
Atmosférická dráha meteoru:
Počáteční výška: 119,5 km
Konečná výška: 93,1 km
Počáteční poloha: 58,727N 10,458E
Konečná poloha: 58,971N 9,414E
Směr: 294,7°
Sklon: 21,8°
VstupnĂ­ rychlost: 73,0 km/s
Rektascenze radiantu: 04:49 (72,4°)
Deklinace radiantu: 6,2°
MeteorickĂ˝ roj: sporadickĂ˝
Elementy dráhy meteoroidu:
Vzdálenost v periheliu: 0,923 AU
Excentricita: 1,295
Sklon dráhy: 152,4°
Délka vzestupného uzlu: 352,8°
Argument perihelia: 31,3°
Střední anomálie: -3,5°
Epocha: 2022 SEP 16 00:36:44
orbit plot

NeinteraktivnĂ­ graf | InteraktivnĂ­ graf

position vs time
speed and acceleration