🇳🇴 🇬🇧 🇩🇪 🇨🇿 🇫🇮

Meteor, poloha: Årjäng 2022-09-19 00:15:29 UTC

Soubor KML  |  InteraktivnĂ­ mapa

Mapa zobrazuje dráhy meteoru. Světlejší čáry ukazují směry od pozorovacích stanic při objevení se meteoru a tmavší čáry, kde byl naposledy viděn. Modrá šipka značí viditelnou dráhu meteoru.

static map
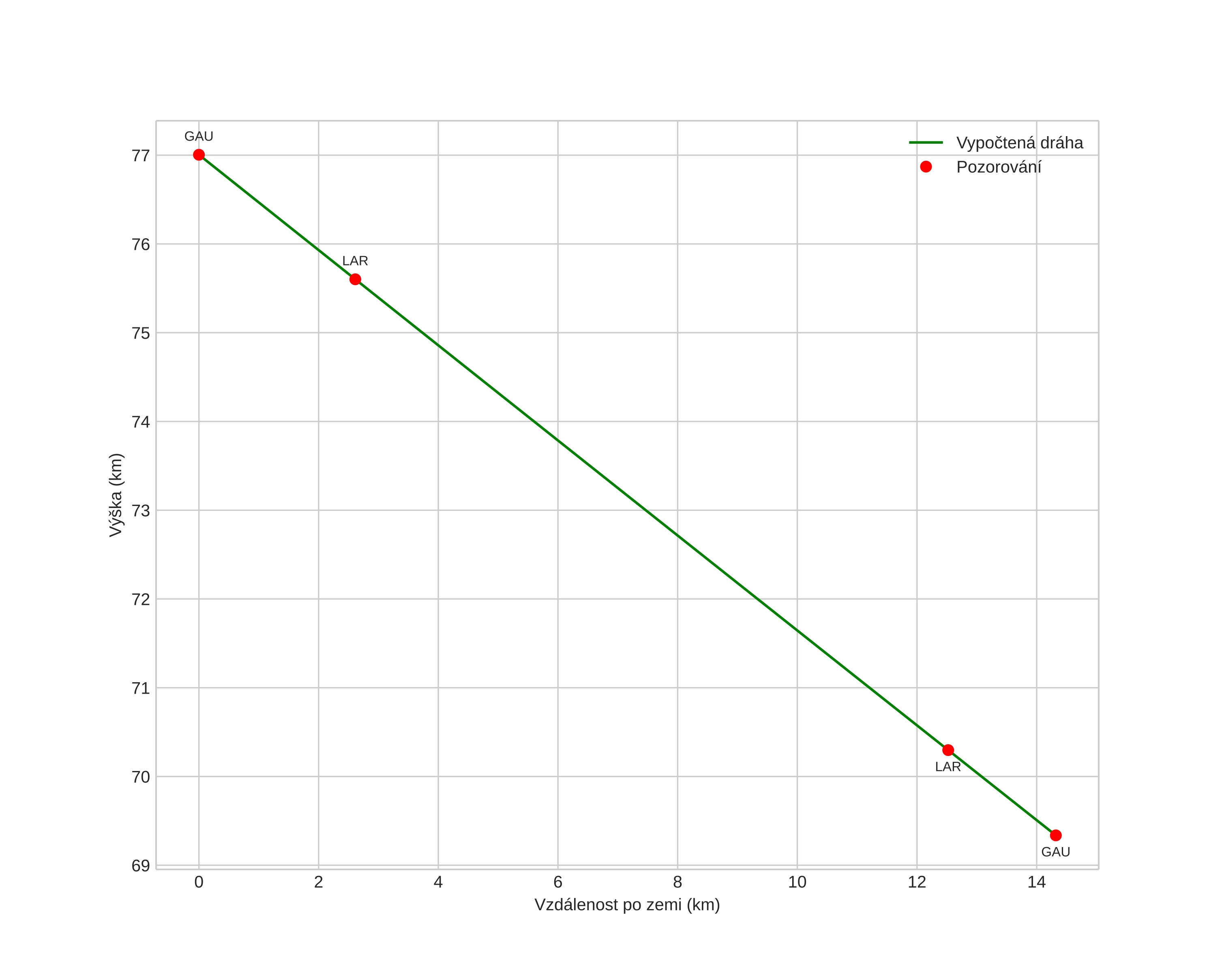
height profile
Atmosférická dráha meteoru:
Počáteční výška: 77,0 km
Konečná výška: 69,4 km
Počáteční poloha: 59,416N 11,896E
Konečná poloha: 59,473N 12,124E
Směr: 63,8°
Sklon: 27,9°
VstupnĂ­ rychlost: 16,8 km/s
Rektascenze radiantu: 20:57 (314,3°)
Deklinace radiantu: 3,0°
MeteorickĂ˝ roj: sporadickĂ˝
Elementy dráhy meteoroidu:
Vzdálenost v periheliu: 0,924 AU
Excentricita: 0,723
Sklon dráhy: 6,6°
Délka vzestupného uzlu: 175,7°
Argument perihelia: 216,1°
Střední anomálie: 355,8°
Epocha: 2022 SEP 19 00:15:29
orbit plot

NeinteraktivnĂ­ graf | InteraktivnĂ­ graf

position vs time
speed and acceleration