🇳🇴 🇬🇧 🇩🇪 🇨🇿 🇫🇮

Meteor Årjängin yllä 2022-09-19 00:15:29 UTC

KML-tiedosto  |  Interaktiivinen kartta

Kartta näyttää meteorin suuntahavainnot. Vaaleammat viivat näyttävät suunnat havaintoasemilta meteorin ilmestyessä, ja tummemmat viivat näyttävät, missä se viimeksi nähtiin. Sininen nuoli näyttää meteorin näkyvän lennon.

static map
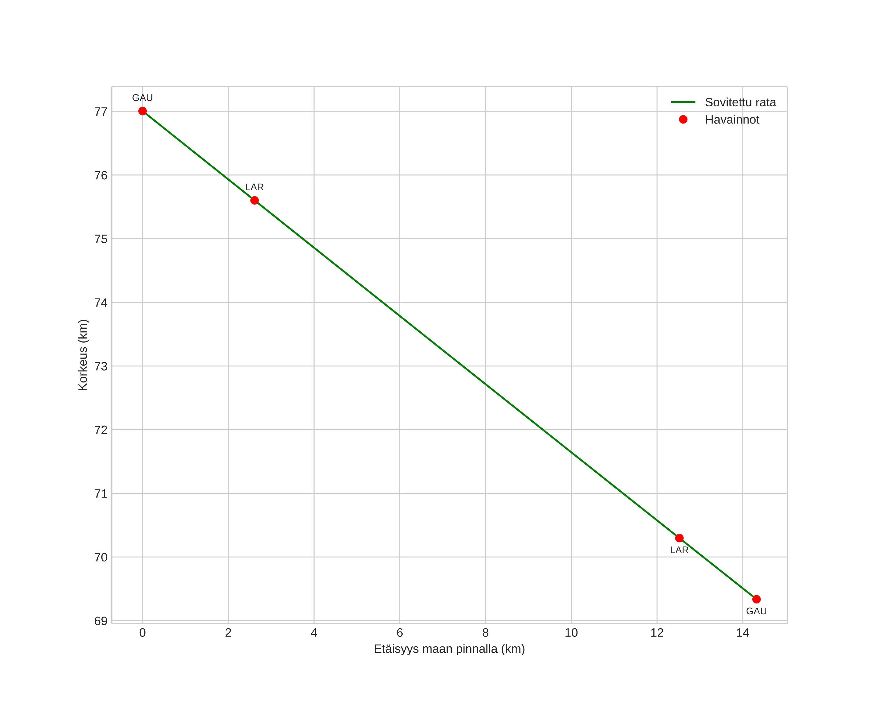
height profile
Meteorin ilmakehärata:
Alkukorkeus: 77,0 km
Loppukorkeus: 69,4 km
Alkupiste: 59,416N 11,896E
Loppupiste: 59,473N 12,124E
Suunta: 63,8°
Kallistuskulma: 27,9°
Tulonopeus: 16,8 km/s
Radiantin R,A,: 20:57 (314,3°)
Radiantin Dekl,: 3,0°
Meteoriparvi: Sporadinen
Meteoroidin rataelementit:
Perihelietäisyys: 0,924 AU
Eksentrisyys: 0,723
Inklinaatio: 6,6°
Nousevan solmun pituus: 175,7°
Perihelin argumentti: 216,1°
Keskianomalia: 355,8°
Epookki: 2022 SEP 19 00:15:29
orbit plot

Ei-interaktiivinen kuvaaja | Interaktiivinen kuvaaja

position vs time
speed and acceleration