🇳🇴 🇬🇧 🇩🇪 🇨🇿 🇫🇮

Meteor Thyborønin yllä 2022-09-20 03:31:35 UTC

KML-tiedosto  |  Interaktiivinen kartta

Kartta näyttää meteorin suuntahavainnot. Vaaleammat viivat näyttävät suunnat havaintoasemilta meteorin ilmestyessä, ja tummemmat viivat näyttävät, missä se viimeksi nähtiin. Sininen nuoli näyttää meteorin näkyvän lennon.

static map
height profile
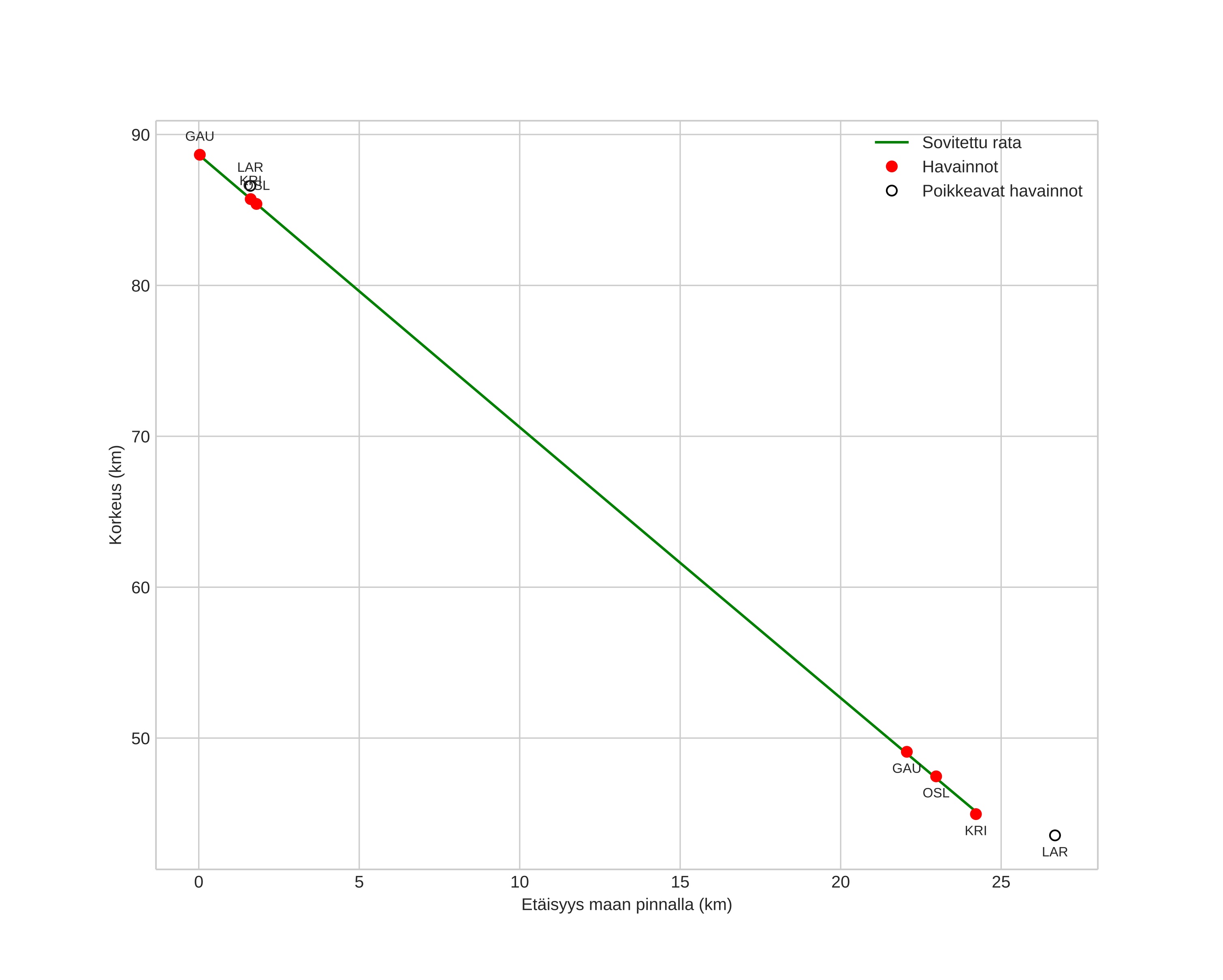
Meteorin ilmakehärata:
Alkukorkeus: 88,8 km
Loppukorkeus: 45,4 km
Alkupiste: 57,319N 7,509E
Loppupiste: 57,003N 7,368E
Suunta: 193,7°
Kallistuskulma: 50,2°
Tulonopeus: 40,9 km/s
Radiantin R,A,: 12:33 (188,4°)
Radiantin Dekl,: 79,1°
Meteoriparvi: Sporadinen
Meteoroidin rataelementit:
Perihelietäisyys: 0,963 AU
Eksentrisyys: 0,808
Inklinaatio: 66,3°
Nousevan solmun pituus: 176,9°
Perihelin argumentti: 155,2°
Keskianomalia: 1,6°
Epookki: 2022 SEP 20 03:31:35
orbit plot

Ei-interaktiivinen kuvaaja | Interaktiivinen kuvaaja

position vs time
speed and acceleration