🇳🇴 🇬🇧 🇩🇪 🇨🇿 🇫🇮

Meteor, poloha: Karlshus 2022-09-20 19:49:13 UTC

Soubor KML  |  InteraktivnĂ­ mapa

Mapa zobrazuje dráhy meteoru. Světlejší čáry ukazují směry od pozorovacích stanic při objevení se meteoru a tmavší čáry, kde byl naposledy viděn. Modrá šipka značí viditelnou dráhu meteoru.

static map
height profile
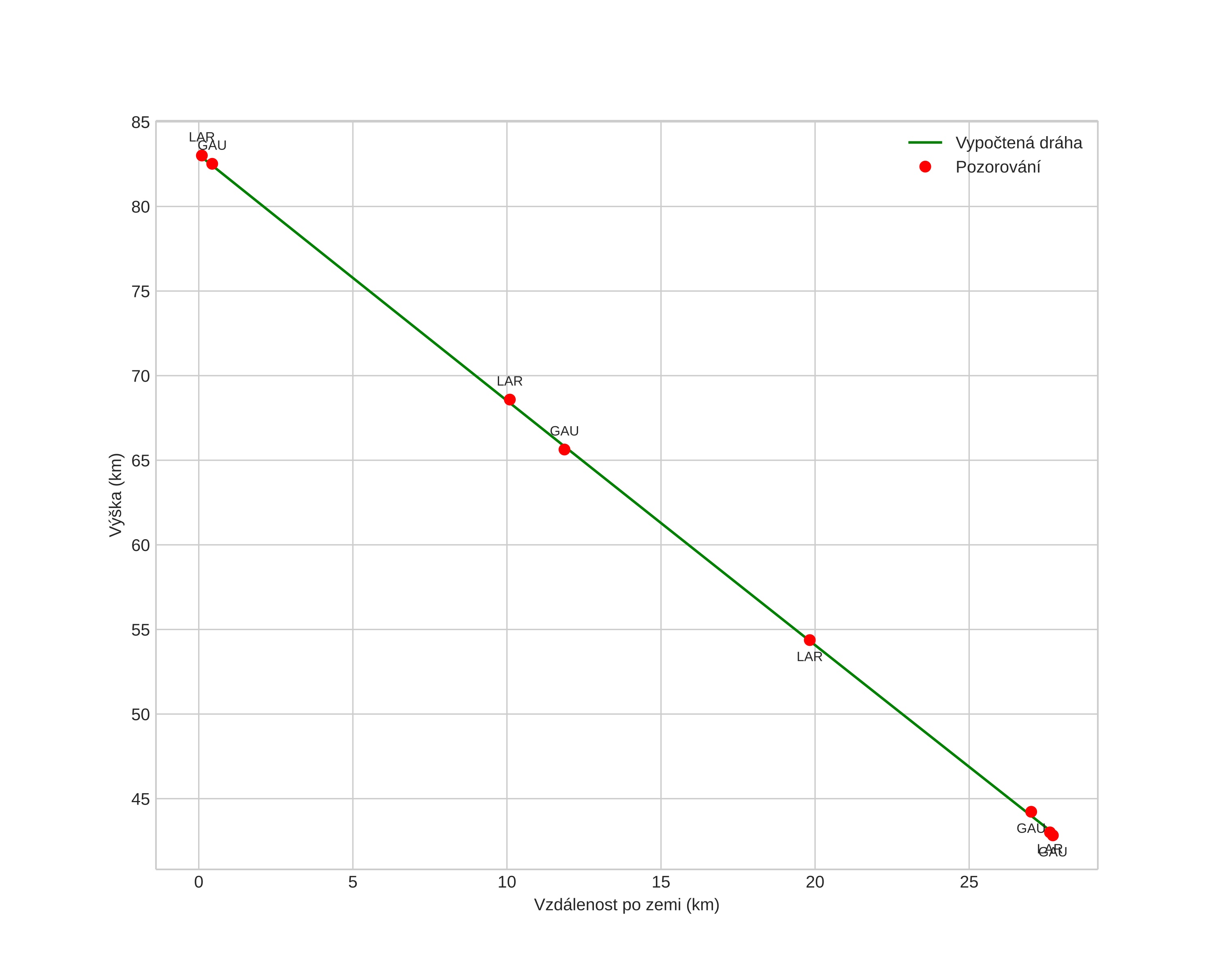
Atmosférická dráha meteoru:
Počáteční výška: 83,9 km
Konečná výška: 43,0 km
Počáteční poloha: 59,104N 10,954E
Konečná poloha: 59,353N 10,930E
Směr: 357,2°
Sklon: 55,9°
VstupnĂ­ rychlost: 17,3 km/s
Rektascenze radiantu: 20:34 (308,5°)
Deklinace radiantu: 20,2°
MeteorickĂ˝ roj: sporadickĂ˝
Elementy dráhy meteoroidu:
Vzdálenost v periheliu: 0,943 AU
Excentricita: 0,680
Sklon dráhy: 12,5°
Délka vzestupného uzlu: 177,5°
Argument perihelia: 212,0°
Střední anomálie: 355,3°
Epocha: 2022 SEP 20 19:49:13
orbit plot

NeinteraktivnĂ­ graf | InteraktivnĂ­ graf

position vs time
speed and acceleration