🇳🇴 🇬🇧 🇩🇪 🇨🇿 🇫🇮

Meteor Karlshusin yllä 2022-09-20 19:49:13 UTC

KML-tiedosto  |  Interaktiivinen kartta

Kartta näyttää meteorin suuntahavainnot. Vaaleammat viivat näyttävät suunnat havaintoasemilta meteorin ilmestyessä, ja tummemmat viivat näyttävät, missä se viimeksi nähtiin. Sininen nuoli näyttää meteorin näkyvän lennon.

static map
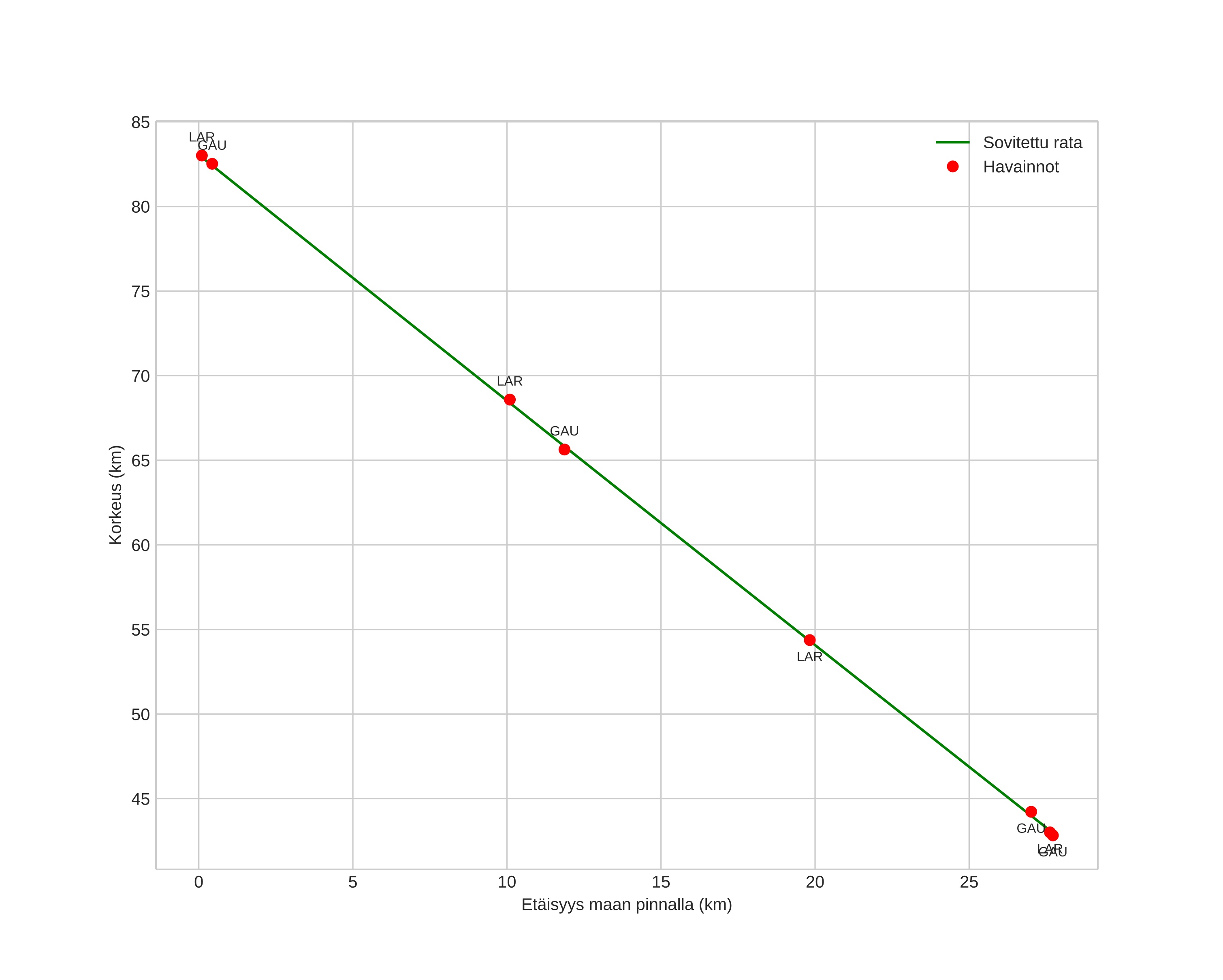
height profile
Meteorin ilmakehärata:
Alkukorkeus: 83,9 km
Loppukorkeus: 43,0 km
Alkupiste: 59,104N 10,954E
Loppupiste: 59,353N 10,930E
Suunta: 357,2°
Kallistuskulma: 55,9°
Tulonopeus: 17,3 km/s
Radiantin R,A,: 20:34 (308,5°)
Radiantin Dekl,: 20,2°
Meteoriparvi: Sporadinen
Meteoroidin rataelementit:
Perihelietäisyys: 0,943 AU
Eksentrisyys: 0,680
Inklinaatio: 12,5°
Nousevan solmun pituus: 177,5°
Perihelin argumentti: 212,0°
Keskianomalia: 355,3°
Epookki: 2022 SEP 20 19:49:13
orbit plot

Ei-interaktiivinen kuvaaja | Interaktiivinen kuvaaja

position vs time
speed and acceleration