🇳🇴 🇬🇧 🇩🇪 🇨🇿 🇫🇮

Meteor, poloha: Karlshus 2022-09-20 19:49:14 UTC

Soubor KML  |  InteraktivnĂ­ mapa

Mapa zobrazuje dráhy meteoru. Světlejší čáry ukazují směry od pozorovacích stanic při objevení se meteoru a tmavší čáry, kde byl naposledy viděn. Modrá šipka značí viditelnou dráhu meteoru.

static map
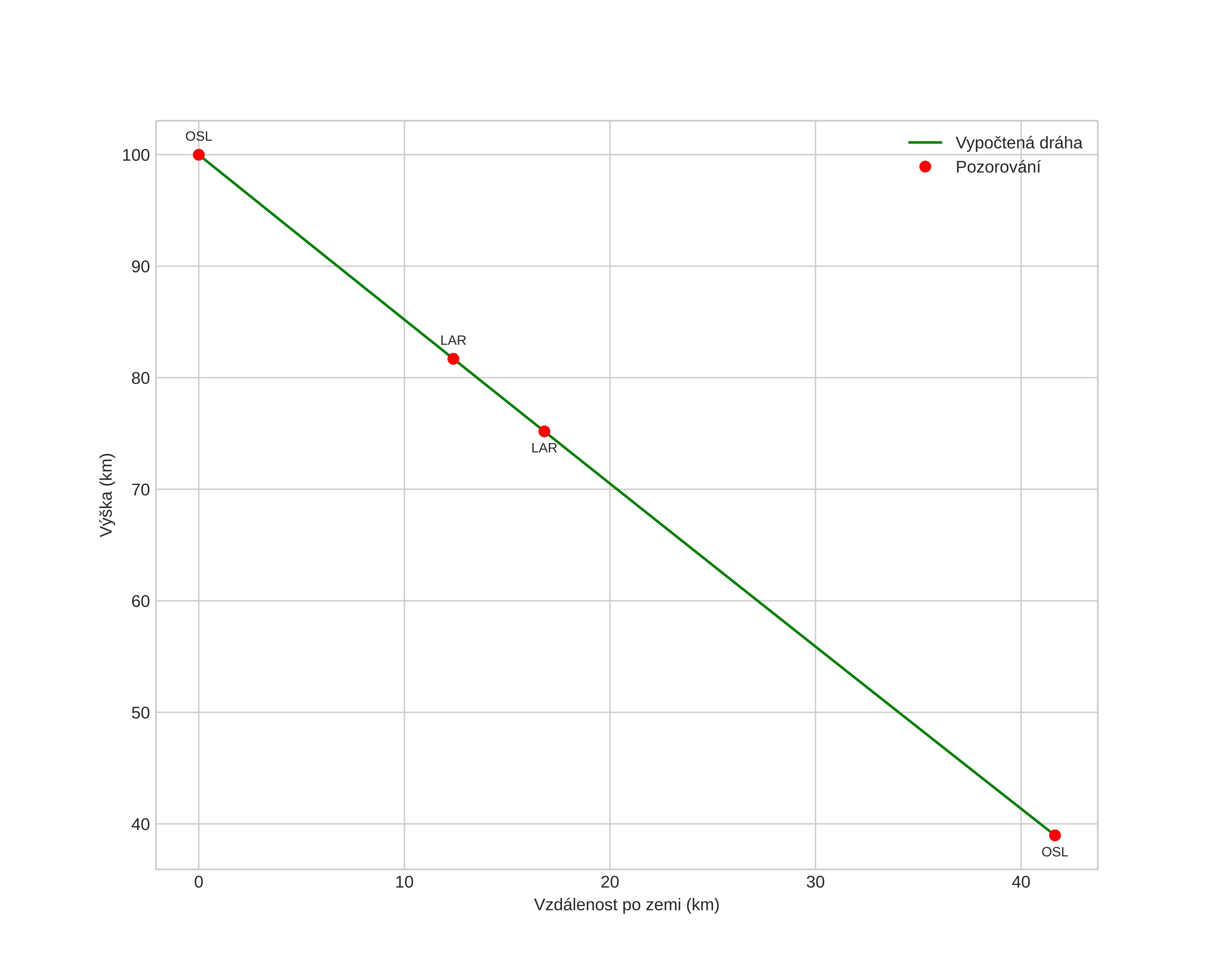
height profile
Atmosférická dráha meteoru:
Počáteční výška: 100,9 km
Konečná výška: 38,5 km
Počáteční poloha: 58,985N 10,958E
Konečná poloha: 59,374N 10,933E
Směr: 358,1°
Sklon: 55,2°
VstupnĂ­ rychlost: 17,9 km/s
Rektascenze radiantu: 20:31 (308,0°)
Deklinace radiantu: 19,7°
MeteorickĂ˝ roj: sporadickĂ˝
Elementy dráhy meteoroidu:
Vzdálenost v periheliu: 0,942 AU
Excentricita: 0,738
Sklon dráhy: 12,9°
Délka vzestupného uzlu: 177,5°
Argument perihelia: 211,4°
Střední anomálie: 356,7°
Epocha: 2022 SEP 20 19:49:14
orbit plot

NeinteraktivnĂ­ graf | InteraktivnĂ­ graf

position vs time
speed and acceleration

Larvik (LAR) cam3


gnomonic
Videa
• Gnomonická
• Gnomonická se souřadnicemi
• Původní
• Původní se souřadnicemi
Obrázky
• Gnomonická
• Gnomonická se souřadnicemi
• Původní
• Původní se souřadnicemi
Textové soubory
• Detekce
• Pozorování
• Souřadnice
• Chybová hlášení
• Protokol
Jasnost