🇳🇴 🇬🇧 🇩🇪 🇨🇿 🇫🇮

Meteor, poloha: Melbu 2022-09-25 22:10:57 UTC

Soubor KML  |  InteraktivnĂ­ mapa

Mapa zobrazuje dráhy meteoru. Světlejší čáry ukazují směry od pozorovacích stanic při objevení se meteoru a tmavší čáry, kde byl naposledy viděn. Modrá šipka značí viditelnou dráhu meteoru.

static map
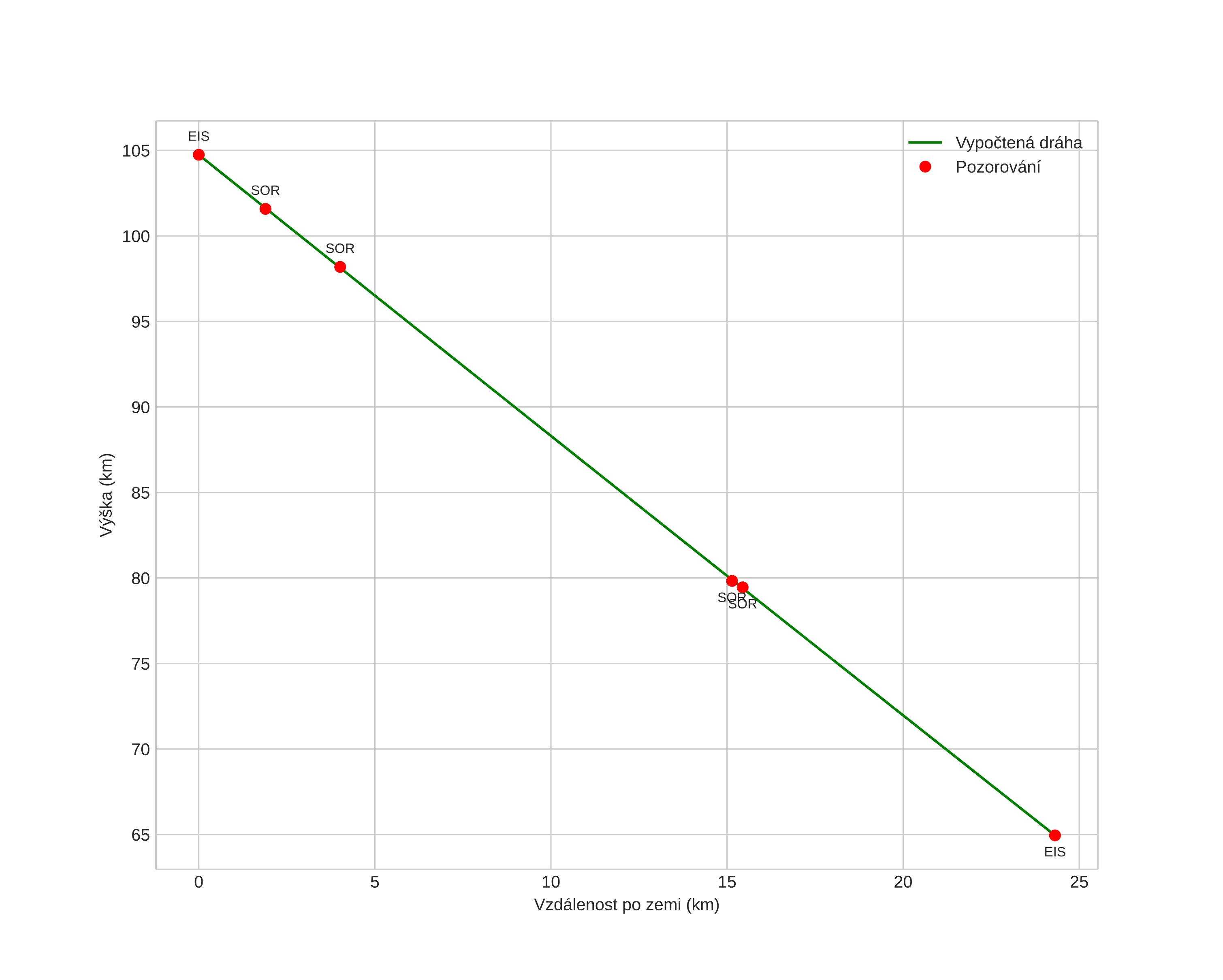
height profile
Atmosférická dráha meteoru:
Počáteční výška: 98,6 km
Konečná výška: 53,0 km
Počáteční poloha: 68,616N 14,699E
Konečná poloha: 68,440N 14,894E
Směr: 157,9°
Sklon: 65,1°
VstupnĂ­ rychlost: 21,1 km/s
Rektascenze radiantu: 16:12 (243,0°)
Deklinace radiantu: 79,1°
MeteorickĂ˝ roj: sporadickĂ˝
Elementy dráhy meteoroidu:
Vzdálenost v periheliu: 0,997 AU
Excentricita: 0,079
Sklon dráhy: 34,5°
Délka vzestupného uzlu: 182,5°
Argument perihelia: 157,5°
Střední anomálie: 19,3°
Epocha: 2022 SEP 25 22:10:57
orbit plot

NeinteraktivnĂ­ graf | InteraktivnĂ­ graf

position vs time
speed and acceleration