🇳🇴 🇬🇧 🇩🇪 🇨🇿 🇫🇮

Meteor Melbun yllä 2022-09-25 22:10:57 UTC

KML-tiedosto  |  Interaktiivinen kartta

Kartta näyttää meteorin suuntahavainnot. Vaaleammat viivat näyttävät suunnat havaintoasemilta meteorin ilmestyessä, ja tummemmat viivat näyttävät, missä se viimeksi nähtiin. Sininen nuoli näyttää meteorin näkyvän lennon.

static map
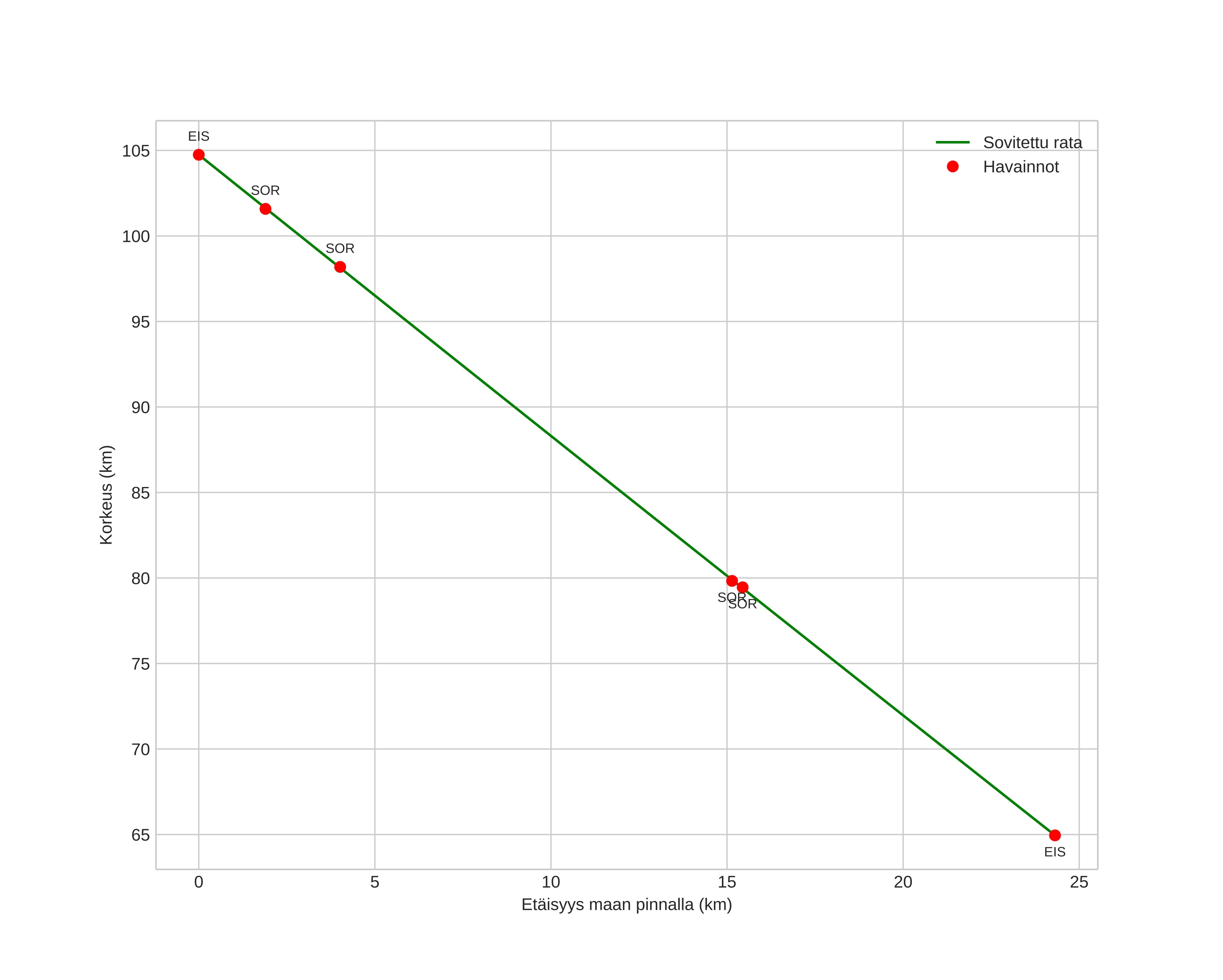
height profile
Meteorin ilmakehärata:
Alkukorkeus: 98,6 km
Loppukorkeus: 53,0 km
Alkupiste: 68,616N 14,699E
Loppupiste: 68,440N 14,894E
Suunta: 157,9°
Kallistuskulma: 65,1°
Tulonopeus: 21,1 km/s
Radiantin R,A,: 16:12 (243,0°)
Radiantin Dekl,: 79,1°
Meteoriparvi: Sporadinen
Meteoroidin rataelementit:
Perihelietäisyys: 0,997 AU
Eksentrisyys: 0,079
Inklinaatio: 34,5°
Nousevan solmun pituus: 182,5°
Perihelin argumentti: 157,5°
Keskianomalia: 19,3°
Epookki: 2022 SEP 25 22:10:57
orbit plot

Ei-interaktiivinen kuvaaja | Interaktiivinen kuvaaja

position vs time
speed and acceleration