🇳🇴 🇬🇧 🇩🇪 🇨🇿 🇫🇮

Meteor, poloha: Brøstadbotn 2022-09-25 23:43:48 UTC

Soubor KML  |  InteraktivnĂ­ mapa

Mapa zobrazuje dráhy meteoru. Světlejší čáry ukazují směry od pozorovacích stanic při objevení se meteoru a tmavší čáry, kde byl naposledy viděn. Modrá šipka značí viditelnou dráhu meteoru.

static map
height profile
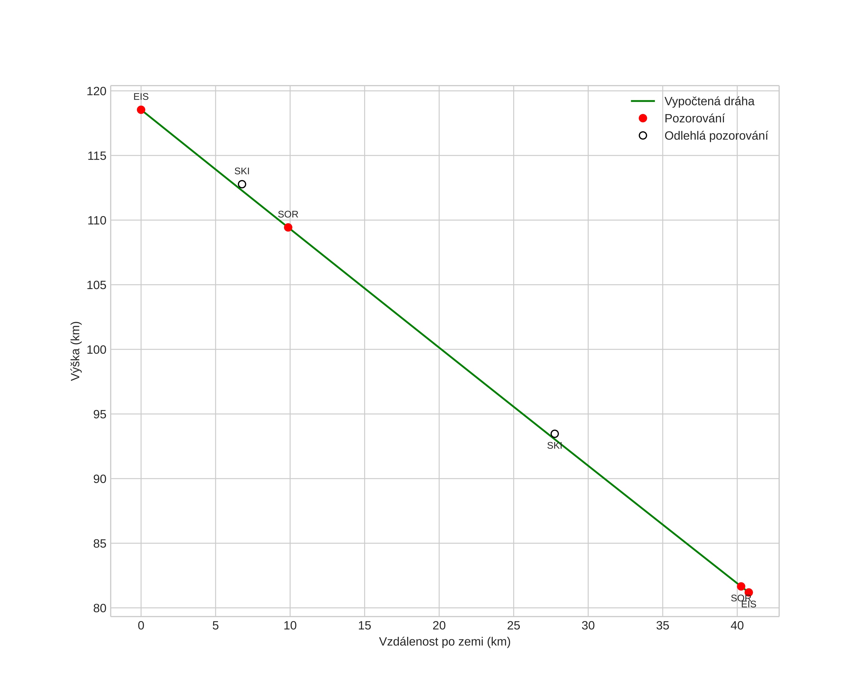
Atmosférická dráha meteoru:
Počáteční výška: 120,0 km
Konečná výška: 81,9 km
Počáteční poloha: 69,661N 18,599E
Konečná poloha: 69,684N 17,553E
Směr: 274,2°
Sklon: 43,3°
VstupnĂ­ rychlost: 72,0 km/s
Rektascenze radiantu: 05:49 (87,3°)
Deklinace radiantu: 38,4°
MeteorickĂ˝ roj: sporadickĂ˝
Elementy dráhy meteoroidu:
Vzdálenost v periheliu: 0,983 AU
Excentricita: 1,116
Sklon dráhy: 154,6°
Délka vzestupného uzlu: 182,6°
Argument perihelia: 195,7°
Střední anomálie: -0,4°
Epocha: 2022 SEP 25 23:43:48
orbit plot

NeinteraktivnĂ­ graf | InteraktivnĂ­ graf

position vs time
speed and acceleration