🇳🇴 🇬🇧 🇩🇪 🇨🇿 🇫🇮

Meteor Brøstadbotnin yllä 2022-09-25 23:43:48 UTC

KML-tiedosto  |  Interaktiivinen kartta

Kartta näyttää meteorin suuntahavainnot. Vaaleammat viivat näyttävät suunnat havaintoasemilta meteorin ilmestyessä, ja tummemmat viivat näyttävät, missä se viimeksi nähtiin. Sininen nuoli näyttää meteorin näkyvän lennon.

static map
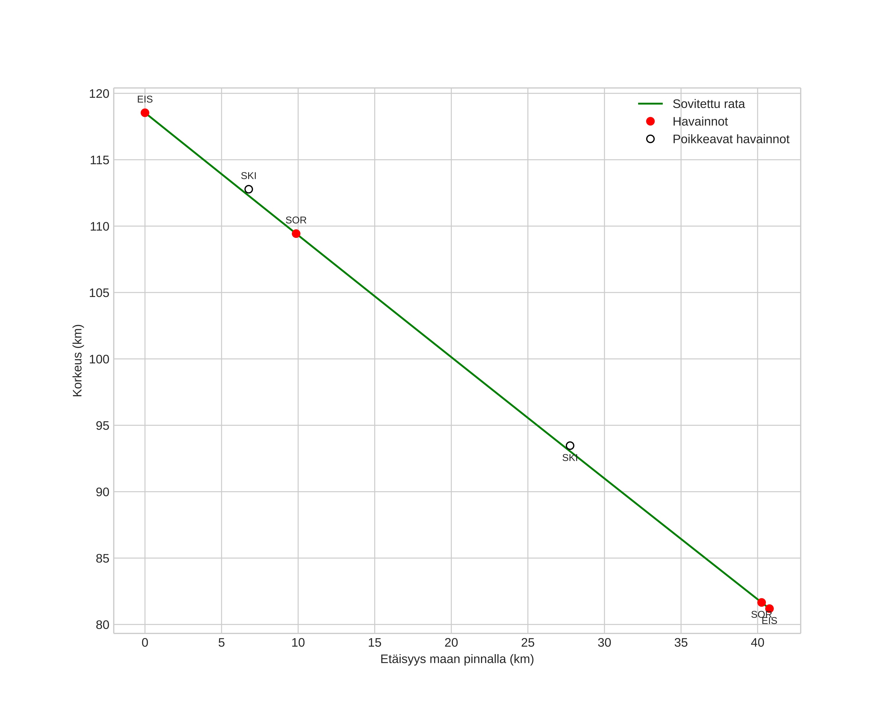
height profile
Meteorin ilmakehärata:
Alkukorkeus: 120,0 km
Loppukorkeus: 81,9 km
Alkupiste: 69,661N 18,599E
Loppupiste: 69,684N 17,553E
Suunta: 274,2°
Kallistuskulma: 43,3°
Tulonopeus: 72,0 km/s
Radiantin R,A,: 05:49 (87,3°)
Radiantin Dekl,: 38,4°
Meteoriparvi: Sporadinen
Meteoroidin rataelementit:
Perihelietäisyys: 0,983 AU
Eksentrisyys: 1,116
Inklinaatio: 154,6°
Nousevan solmun pituus: 182,6°
Perihelin argumentti: 195,7°
Keskianomalia: -0,4°
Epookki: 2022 SEP 25 23:43:48
orbit plot

Ei-interaktiivinen kuvaaja | Interaktiivinen kuvaaja

position vs time
speed and acceleration