🇳🇴 🇬🇧 🇩🇪 🇨🇿 🇫🇮

Meteor, poloha: Straumen 2022-09-27 00:15:17 UTC

Soubor KML  |  InteraktivnĂ­ mapa

Mapa zobrazuje dráhy meteoru. Světlejší čáry ukazují směry od pozorovacích stanic při objevení se meteoru a tmavší čáry, kde byl naposledy viděn. Modrá šipka značí viditelnou dráhu meteoru.

static map
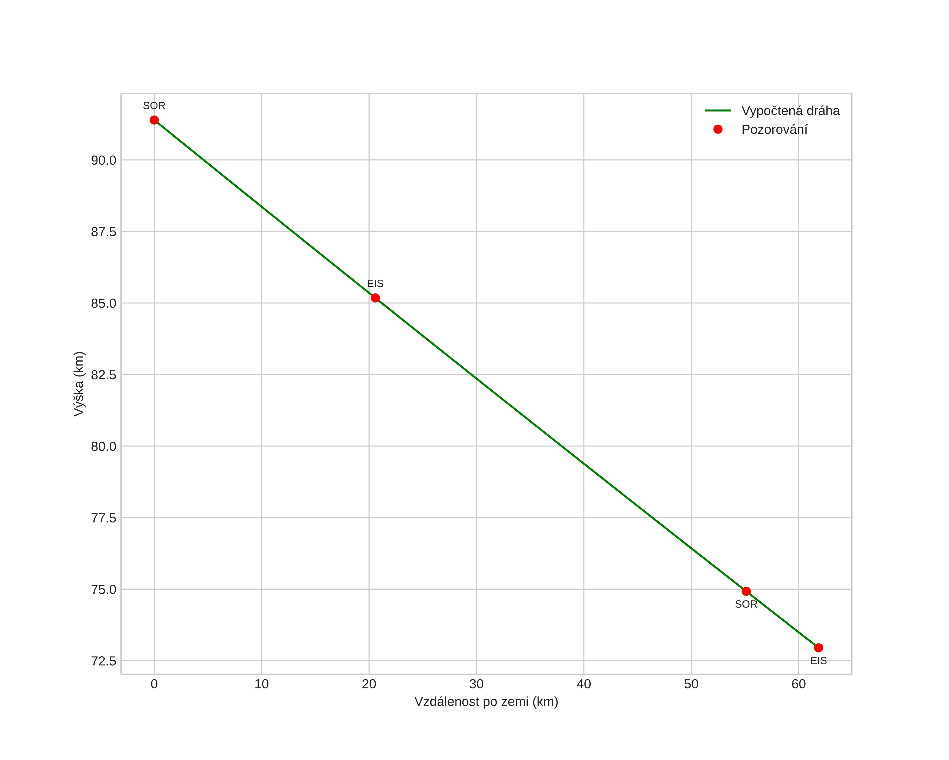
height profile
Atmosférická dráha meteoru:
Počáteční výška: 89,1 km
Konečná výška: 71,8 km
Počáteční poloha: 67,721N 15,217E
Konečná poloha: 67,501N 16,472E
Směr: 114,2°
Sklon: 16,5°
VstupnĂ­ rychlost: 15,0 km/s
Rektascenze radiantu: 18:08 (272,2°)
Deklinace radiantu: 8,8°
MeteorickĂ˝ roj: sporadickĂ˝
Elementy dráhy meteoroidu:
Vzdálenost v periheliu: 1,002 AU
Excentricita: 0,701
Sklon dráhy: 8,1°
Délka vzestupného uzlu: 183,6°
Argument perihelia: 181,2°
Střední anomálie: 359,8°
Epocha: 2022 SEP 27 00:15:17
orbit plot

NeinteraktivnĂ­ graf | InteraktivnĂ­ graf

position vs time
speed and acceleration