🇳🇴 🇬🇧 🇩🇪 🇨🇿 🇫🇮

Meteor Straumenin yllä 2022-09-27 00:15:17 UTC

KML-tiedosto  |  Interaktiivinen kartta

Kartta näyttää meteorin suuntahavainnot. Vaaleammat viivat näyttävät suunnat havaintoasemilta meteorin ilmestyessä, ja tummemmat viivat näyttävät, missä se viimeksi nähtiin. Sininen nuoli näyttää meteorin näkyvän lennon.

static map
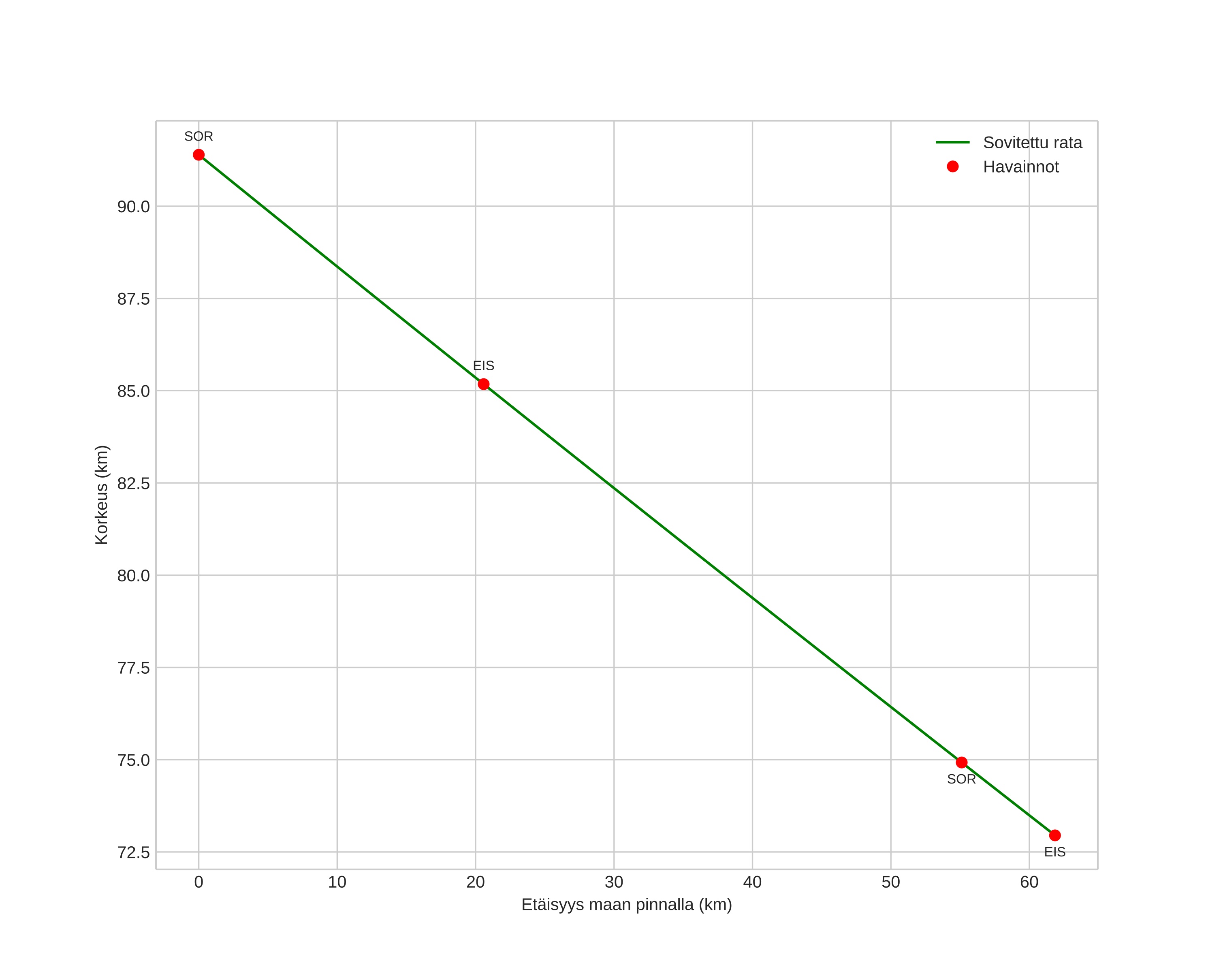
height profile
Meteorin ilmakehärata:
Alkukorkeus: 89,1 km
Loppukorkeus: 71,8 km
Alkupiste: 67,721N 15,217E
Loppupiste: 67,501N 16,472E
Suunta: 114,2°
Kallistuskulma: 16,5°
Tulonopeus: 15,0 km/s
Radiantin R,A,: 18:08 (272,2°)
Radiantin Dekl,: 8,8°
Meteoriparvi: Sporadinen
Meteoroidin rataelementit:
Perihelietäisyys: 1,002 AU
Eksentrisyys: 0,701
Inklinaatio: 8,1°
Nousevan solmun pituus: 183,6°
Perihelin argumentti: 181,2°
Keskianomalia: 359,8°
Epookki: 2022 SEP 27 00:15:17
orbit plot

Ei-interaktiivinen kuvaaja | Interaktiivinen kuvaaja

position vs time
speed and acceleration