🇳🇴 🇬🇧 🇩🇪 🇨🇿 🇫🇮

Meteor, poloha: Finnsnes 2022-09-27 22:34:43 UTC

Soubor KML  |  InteraktivnĂ­ mapa

Mapa zobrazuje dráhy meteoru. Světlejší čáry ukazují směry od pozorovacích stanic při objevení se meteoru a tmavší čáry, kde byl naposledy viděn. Modrá šipka značí viditelnou dráhu meteoru.

static map
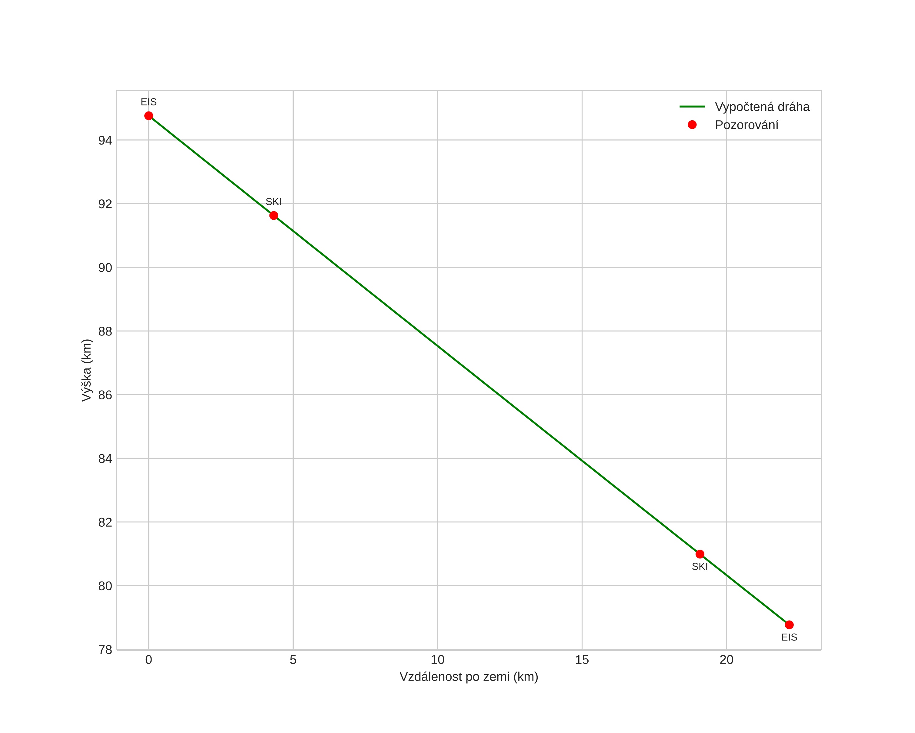
height profile
Atmosférická dráha meteoru:
Počáteční výška: 94,4 km
Konečná výška: 77,5 km
Počáteční poloha: 69,609N 18,070E
Konečná poloha: 69,799N 17,974E
Směr: 350,1°
Sklon: 38,3°
VstupnĂ­ rychlost: 35,2 km/s
Rektascenze radiantu: 00:43 (11,0°)
Deklinace radiantu: 16,6°
MeteorickĂ˝ roj: sporadickĂ˝
Elementy dráhy meteoroidu:
Vzdálenost v periheliu: 0,326 AU
Excentricita: 0,946
Sklon dráhy: 15,4°
Délka vzestupného uzlu: 184,5°
Argument perihelia: 292,8°
Střední anomálie: 357,4°
Epocha: 2022 SEP 27 22:34:43
orbit plot

NeinteraktivnĂ­ graf | InteraktivnĂ­ graf

position vs time
speed and acceleration