🇳🇴 🇬🇧 🇩🇪 🇨🇿 🇫🇮

Meteor Finnsnesin yllä 2022-09-27 22:34:43 UTC

KML-tiedosto  |  Interaktiivinen kartta

Kartta näyttää meteorin suuntahavainnot. Vaaleammat viivat näyttävät suunnat havaintoasemilta meteorin ilmestyessä, ja tummemmat viivat näyttävät, missä se viimeksi nähtiin. Sininen nuoli näyttää meteorin näkyvän lennon.

static map
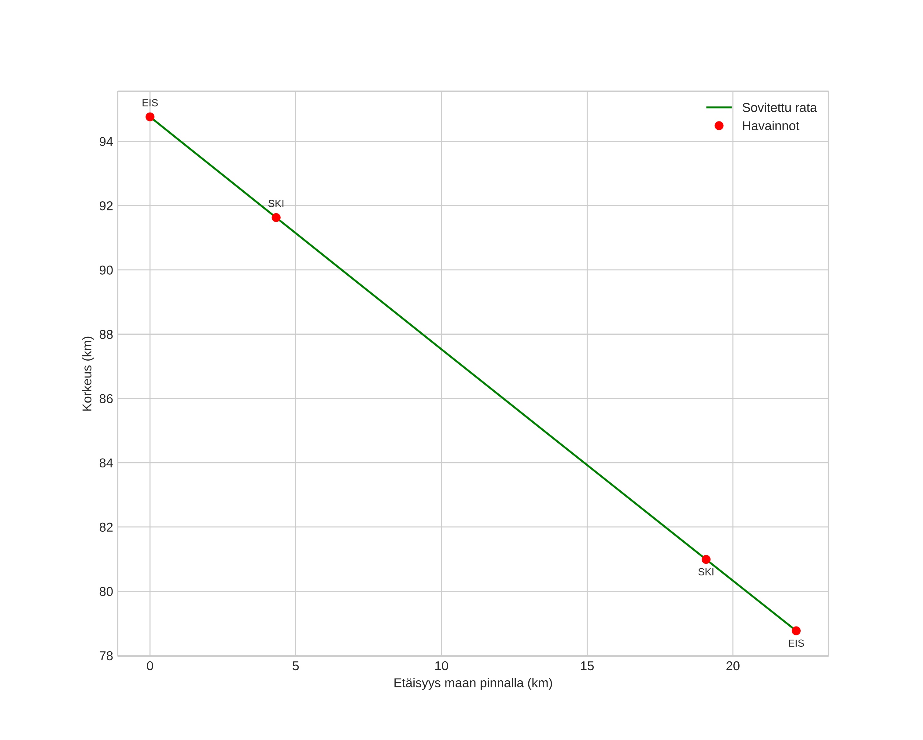
height profile
Meteorin ilmakehärata:
Alkukorkeus: 94,4 km
Loppukorkeus: 77,5 km
Alkupiste: 69,609N 18,070E
Loppupiste: 69,799N 17,974E
Suunta: 350,1°
Kallistuskulma: 38,3°
Tulonopeus: 35,2 km/s
Radiantin R,A,: 00:43 (11,0°)
Radiantin Dekl,: 16,6°
Meteoriparvi: Sporadinen
Meteoroidin rataelementit:
Perihelietäisyys: 0,326 AU
Eksentrisyys: 0,946
Inklinaatio: 15,4°
Nousevan solmun pituus: 184,5°
Perihelin argumentti: 292,8°
Keskianomalia: 357,4°
Epookki: 2022 SEP 27 22:34:43
orbit plot

Ei-interaktiivinen kuvaaja | Interaktiivinen kuvaaja

position vs time
speed and acceleration