🇳🇴 🇬🇧 🇩🇪 🇨🇿 🇫🇮

Meteor, poloha: Borkenes 2022-09-28 01:55:38 UTC

Soubor KML  |  InteraktivnĂ­ mapa

Mapa zobrazuje dráhy meteoru. Světlejší čáry ukazují směry od pozorovacích stanic při objevení se meteoru a tmavší čáry, kde byl naposledy viděn. Modrá šipka značí viditelnou dráhu meteoru.

static map
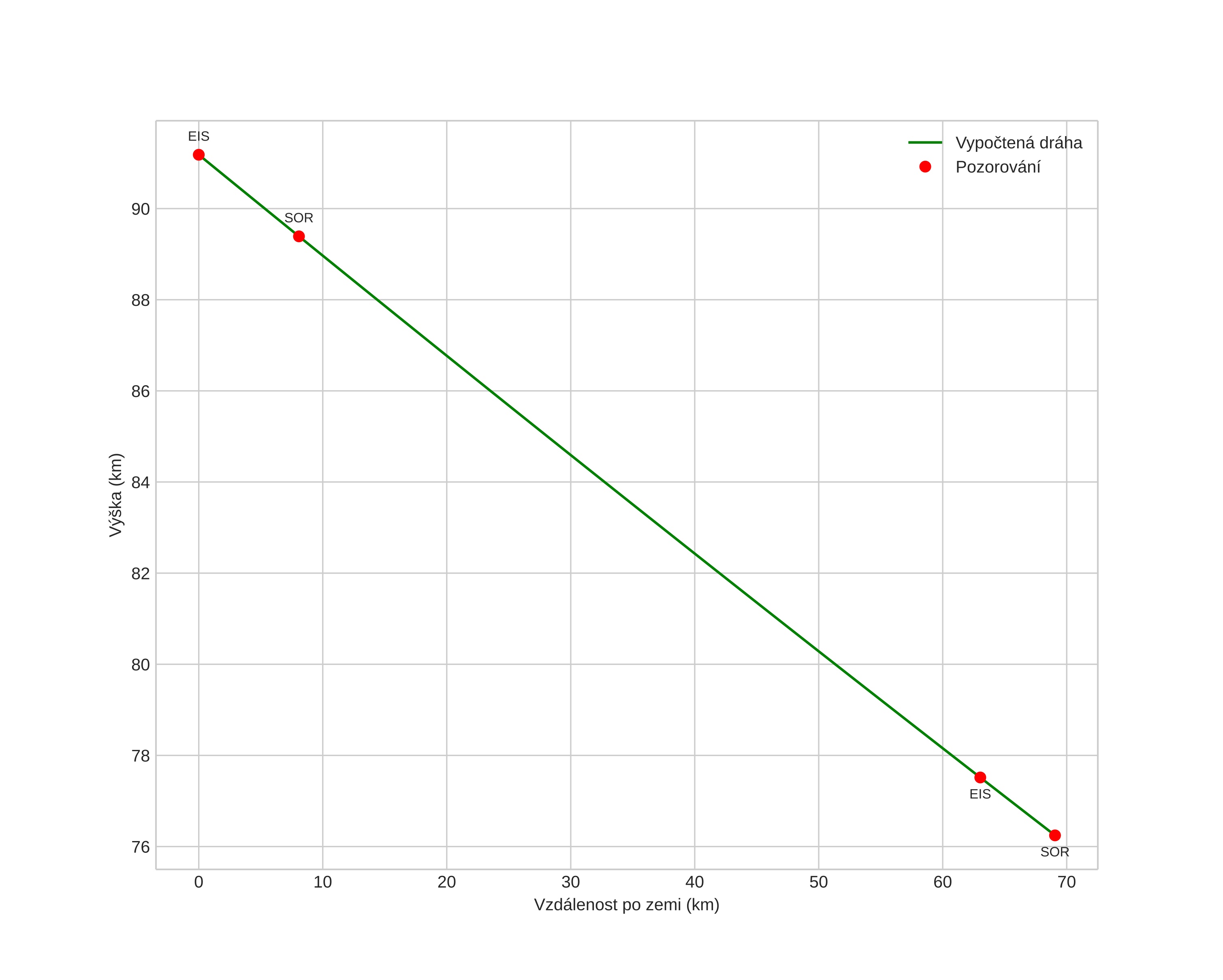
height profile
Atmosférická dráha meteoru:
Počáteční výška: 89,6 km
Konečná výška: 75,3 km
Počáteční poloha: 68,270N 14,878E
Konečná poloha: 68,568N 16,320E
Směr: 60,0°
Sklon: 11,9°
VstupnĂ­ rychlost: 21,1 km/s
Rektascenze radiantu: 23:18 (349,7°)
Deklinace radiantu: -6,5°
MeteorickĂ˝ roj: sporadickĂ˝
Elementy dráhy meteoroidu:
Vzdálenost v periheliu: 0,767 AU
Excentricita: 0,800
Sklon dráhy: 1,0°
Délka vzestupného uzlu: 4,7°
Argument perihelia: 61,8°
Střední anomálie: 355,0°
Epocha: 2022 SEP 28 01:55:38
orbit plot

NeinteraktivnĂ­ graf | InteraktivnĂ­ graf

position vs time
speed and acceleration