🇳🇴 🇬🇧 🇩🇪 🇨🇿 🇫🇮

Meteor Borkenesin yllä 2022-09-28 01:55:38 UTC

KML-tiedosto  |  Interaktiivinen kartta

Kartta näyttää meteorin suuntahavainnot. Vaaleammat viivat näyttävät suunnat havaintoasemilta meteorin ilmestyessä, ja tummemmat viivat näyttävät, missä se viimeksi nähtiin. Sininen nuoli näyttää meteorin näkyvän lennon.

static map
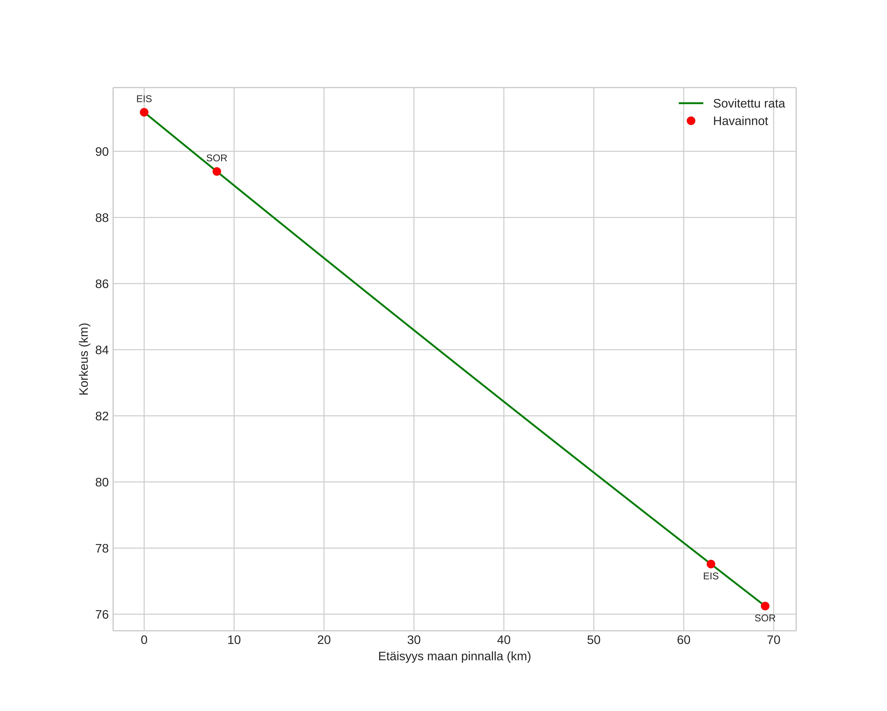
height profile
Meteorin ilmakehärata:
Alkukorkeus: 89,6 km
Loppukorkeus: 75,3 km
Alkupiste: 68,270N 14,878E
Loppupiste: 68,568N 16,320E
Suunta: 60,0°
Kallistuskulma: 11,9°
Tulonopeus: 21,1 km/s
Radiantin R,A,: 23:18 (349,7°)
Radiantin Dekl,: -6,5°
Meteoriparvi: Sporadinen
Meteoroidin rataelementit:
Perihelietäisyys: 0,767 AU
Eksentrisyys: 0,800
Inklinaatio: 1,0°
Nousevan solmun pituus: 4,7°
Perihelin argumentti: 61,8°
Keskianomalia: 355,0°
Epookki: 2022 SEP 28 01:55:38
orbit plot

Ei-interaktiivinen kuvaaja | Interaktiivinen kuvaaja

position vs time
speed and acceleration