🇳🇴 🇬🇧 🇩🇪 🇨🇿 🇫🇮

Meteor, poloha: Hatteng 2022-09-30 17:56:47 UTC

Soubor KML  |  InteraktivnĂ­ mapa

Mapa zobrazuje dráhy meteoru. Světlejší čáry ukazují směry od pozorovacích stanic při objevení se meteoru a tmavší čáry, kde byl naposledy viděn. Modrá šipka značí viditelnou dráhu meteoru.

static map
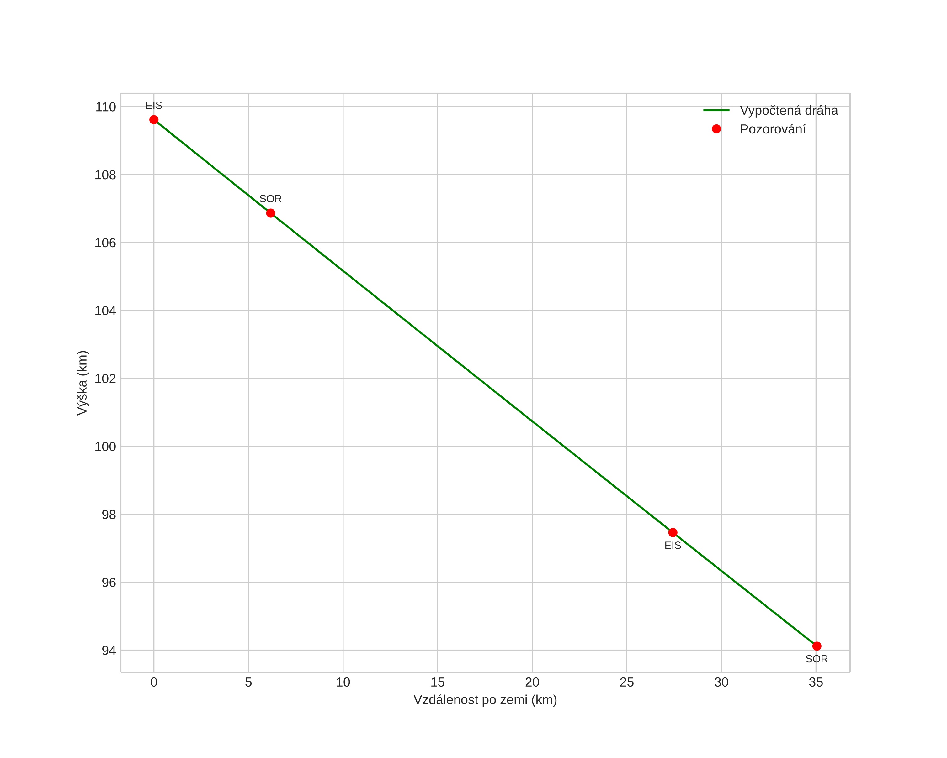
height profile
Atmosférická dráha meteoru:
Počáteční výška: 111,3 km
Konečná výška: 93,9 km
Počáteční poloha: 69,599N 20,089E
Konečná poloha: 69,250N 20,003E
Směr: 185,0°
Sklon: 24,1°
VstupnĂ­ rychlost: 70,5 km/s
Rektascenze radiantu: 07:28 (112,1°)
Deklinace radiantu: 44,0°
MeteorickĂ˝ roj: sporadickĂ˝
Elementy dráhy meteoroidu:
Vzdálenost v periheliu: 0,949 AU
Excentricita: 1,167
Sklon dráhy: 142,7°
Délka vzestupného uzlu: 187,2°
Argument perihelia: 154,6°
Střední anomálie: 1,2°
Epocha: 2022 SEP 30 17:56:47
orbit plot

NeinteraktivnĂ­ graf | InteraktivnĂ­ graf

position vs time
speed and acceleration

Sorreisa (SOR) cam4

gnomonic
Videa
• Původní
Obrázky
• Původní
Textové soubory
• Detekce
• Pozorování
• Souřadnice
• Chybová hlášení
• Protokol
Jasnost