🇳🇴 🇬🇧 🇩🇪 🇨🇿 🇫🇮

Meteor Hattengin yllä 2022-09-30 17:56:47 UTC

KML-tiedosto  |  Interaktiivinen kartta

Kartta näyttää meteorin suuntahavainnot. Vaaleammat viivat näyttävät suunnat havaintoasemilta meteorin ilmestyessä, ja tummemmat viivat näyttävät, missä se viimeksi nähtiin. Sininen nuoli näyttää meteorin näkyvän lennon.

static map
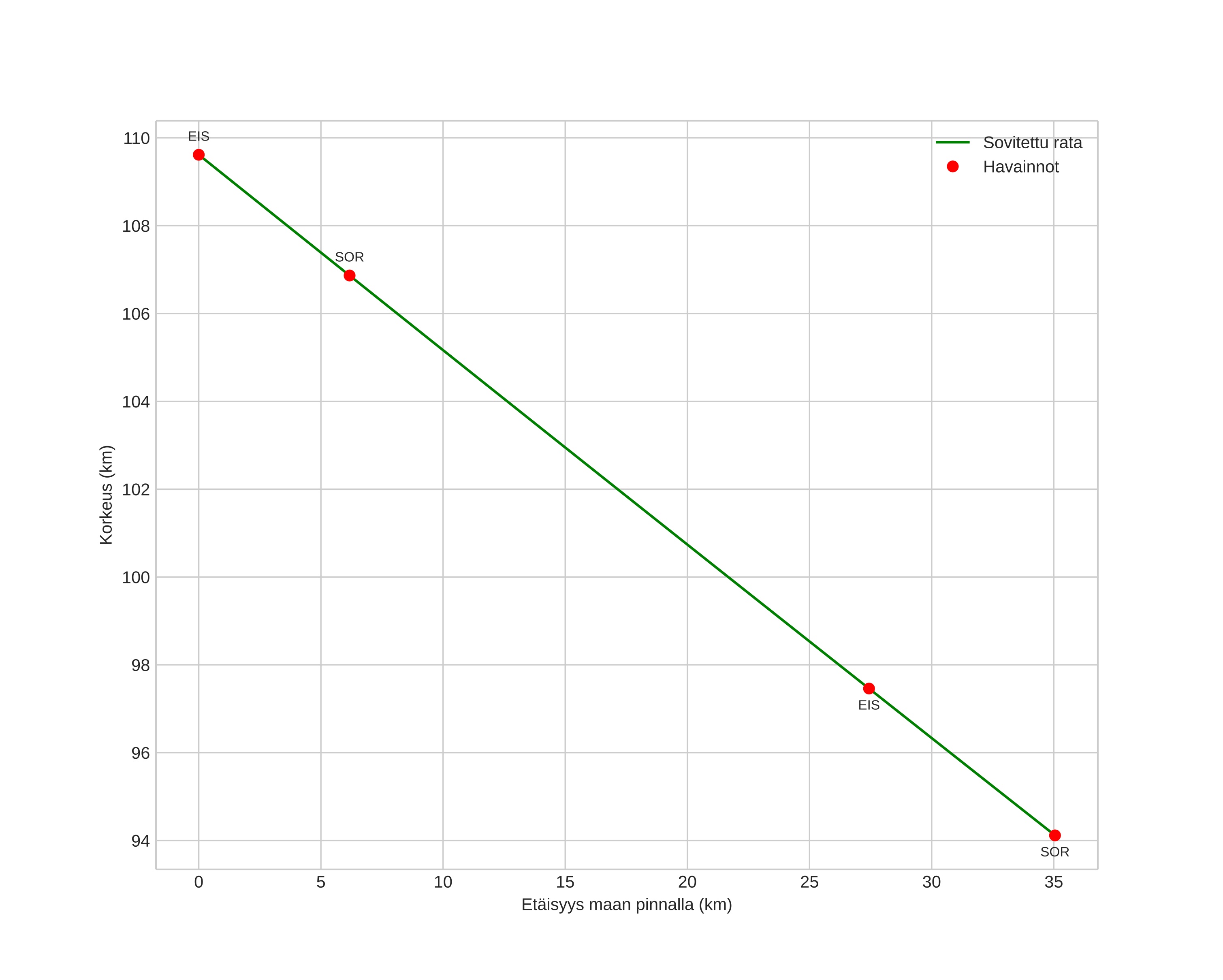
height profile
Meteorin ilmakehärata:
Alkukorkeus: 111,3 km
Loppukorkeus: 93,9 km
Alkupiste: 69,599N 20,089E
Loppupiste: 69,250N 20,003E
Suunta: 185,0°
Kallistuskulma: 24,1°
Tulonopeus: 70,5 km/s
Radiantin R,A,: 07:28 (112,1°)
Radiantin Dekl,: 44,0°
Meteoriparvi: Sporadinen
Meteoroidin rataelementit:
Perihelietäisyys: 0,949 AU
Eksentrisyys: 1,167
Inklinaatio: 142,7°
Nousevan solmun pituus: 187,2°
Perihelin argumentti: 154,6°
Keskianomalia: 1,2°
Epookki: 2022 SEP 30 17:56:47
orbit plot

Ei-interaktiivinen kuvaaja | Interaktiivinen kuvaaja

position vs time
speed and acceleration

Sorreisa (SOR) cam4

gnomonic
Videot:
• Alkuperäinen
Kuvat:
• Alkuperäinen
Tekstitiedostot:
• Havaintoraportti
• Observaatio
• Koordinaatit
• Virheilmoitukset
• Loki
Kirkkaus