🇳🇴 🇬🇧 🇩🇪 🇨🇿 🇫🇮

Meteor, poloha: Bodø 2022-10-01 02:05:22 UTC

Soubor KML  |  InteraktivnĂ­ mapa

Mapa zobrazuje dráhy meteoru. Světlejší čáry ukazují směry od pozorovacích stanic při objevení se meteoru a tmavší čáry, kde byl naposledy viděn. Modrá šipka značí viditelnou dráhu meteoru.

static map
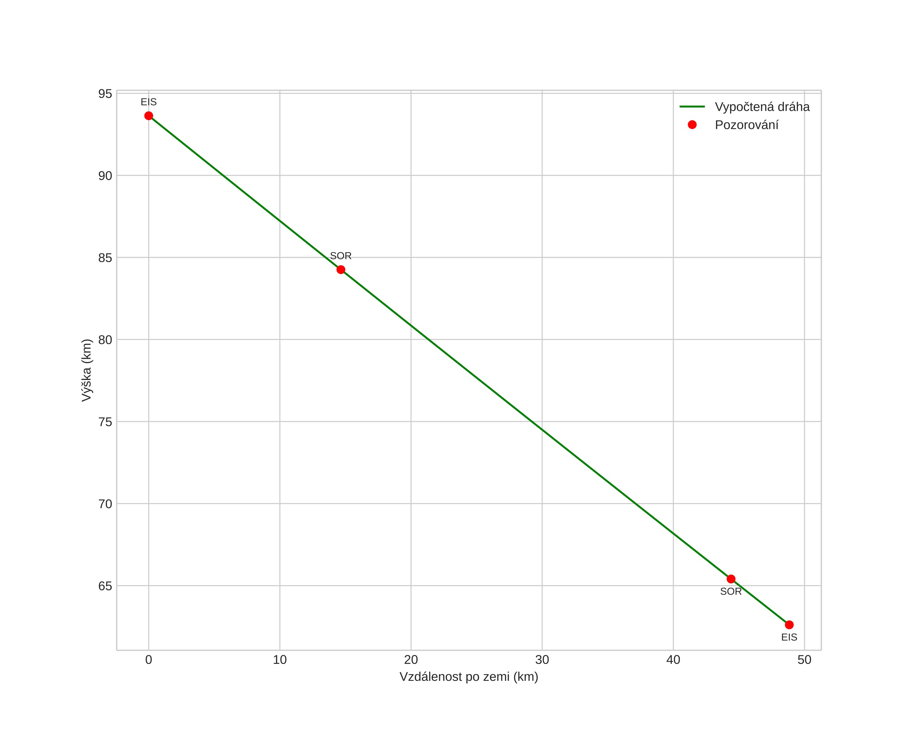
height profile
Atmosférická dráha meteoru:
Počáteční výška: 80,4 km
Konečná výška: 60,8 km
Počáteční poloha: 67,536N 13,630E
Konečná poloha: 67,428N 14,310E
Směr: 112,3°
Sklon: 32,0°
VstupnĂ­ rychlost: 15,9 km/s
Rektascenze radiantu: 20:50 (312,5°)
Deklinace radiantu: 27,9°
MeteorickĂ˝ roj: sporadickĂ˝
Elementy dráhy meteoroidu:
Vzdálenost v periheliu: 0,955 AU
Excentricita: 0,555
Sklon dráhy: 12,7°
Délka vzestupného uzlu: 187,6°
Argument perihelia: 209,7°
Střední anomálie: 352,7°
Epocha: 2022 OCT 01 02:05:22
orbit plot

NeinteraktivnĂ­ graf | InteraktivnĂ­ graf

position vs time
speed and acceleration