🇳🇴 🇬🇧 🇩🇪 🇨🇿 🇫🇮

Meteor Bodøin yllä 2022-10-01 02:05:22 UTC

KML-tiedosto  |  Interaktiivinen kartta

Kartta näyttää meteorin suuntahavainnot. Vaaleammat viivat näyttävät suunnat havaintoasemilta meteorin ilmestyessä, ja tummemmat viivat näyttävät, missä se viimeksi nähtiin. Sininen nuoli näyttää meteorin näkyvän lennon.

static map
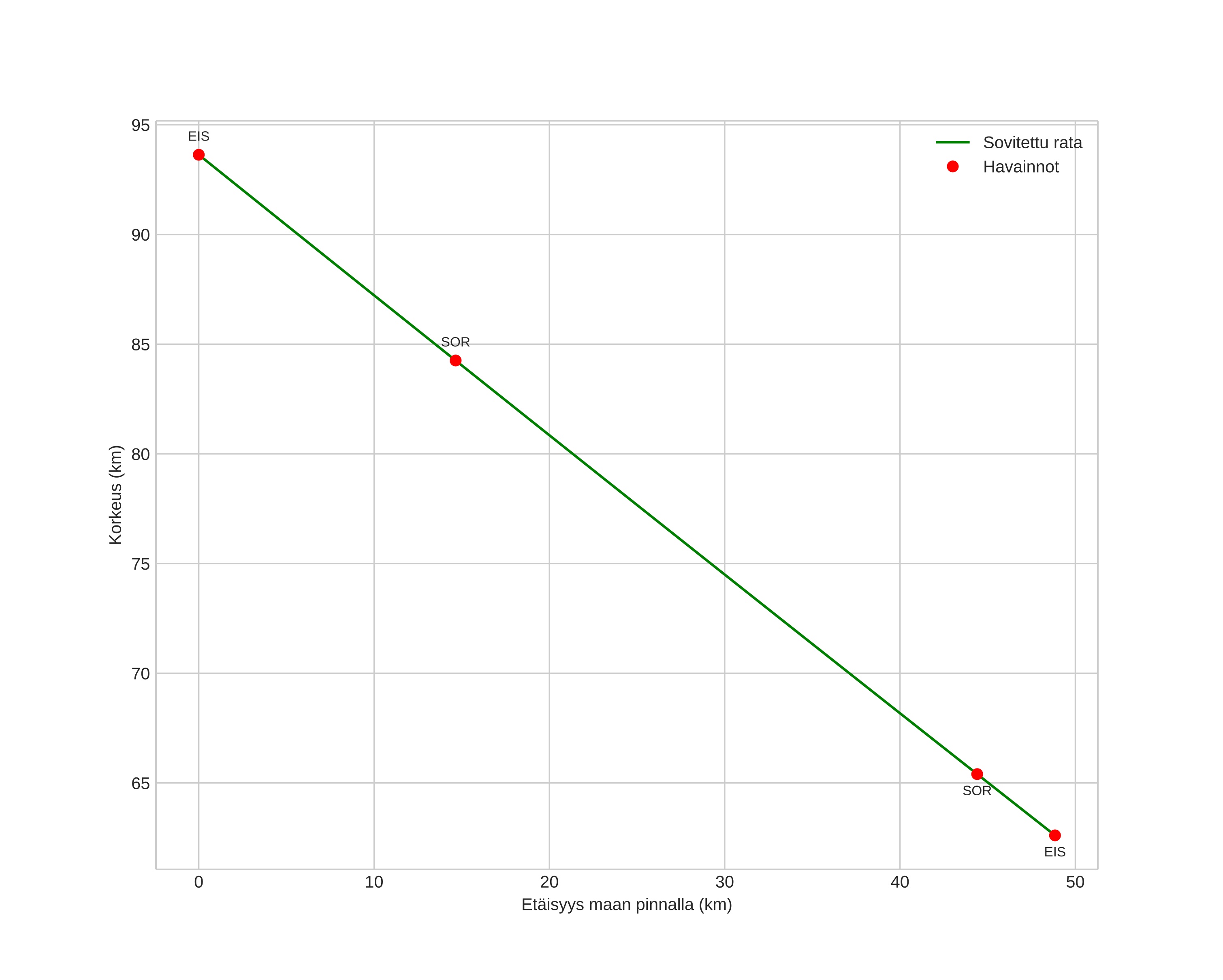
height profile
Meteorin ilmakehärata:
Alkukorkeus: 80,4 km
Loppukorkeus: 60,8 km
Alkupiste: 67,536N 13,630E
Loppupiste: 67,428N 14,310E
Suunta: 112,3°
Kallistuskulma: 32,0°
Tulonopeus: 15,9 km/s
Radiantin R,A,: 20:50 (312,5°)
Radiantin Dekl,: 27,9°
Meteoriparvi: Sporadinen
Meteoroidin rataelementit:
Perihelietäisyys: 0,955 AU
Eksentrisyys: 0,555
Inklinaatio: 12,7°
Nousevan solmun pituus: 187,6°
Perihelin argumentti: 209,7°
Keskianomalia: 352,7°
Epookki: 2022 OCT 01 02:05:22
orbit plot

Ei-interaktiivinen kuvaaja | Interaktiivinen kuvaaja

position vs time
speed and acceleration