🇳🇴 🇬🇧 🇩🇪 🇨🇿 🇫🇮

Meteor, poloha: Hansnes 2022-10-01 20:17:43 UTC

Soubor KML

Mapa zobrazuje dráhy meteoru. Světlejší čáry ukazují směry od pozorovacích stanic při objevení se meteoru a tmavší čáry, kde byl naposledy viděn. Modrá šipka značí viditelnou dráhu meteoru.

static map
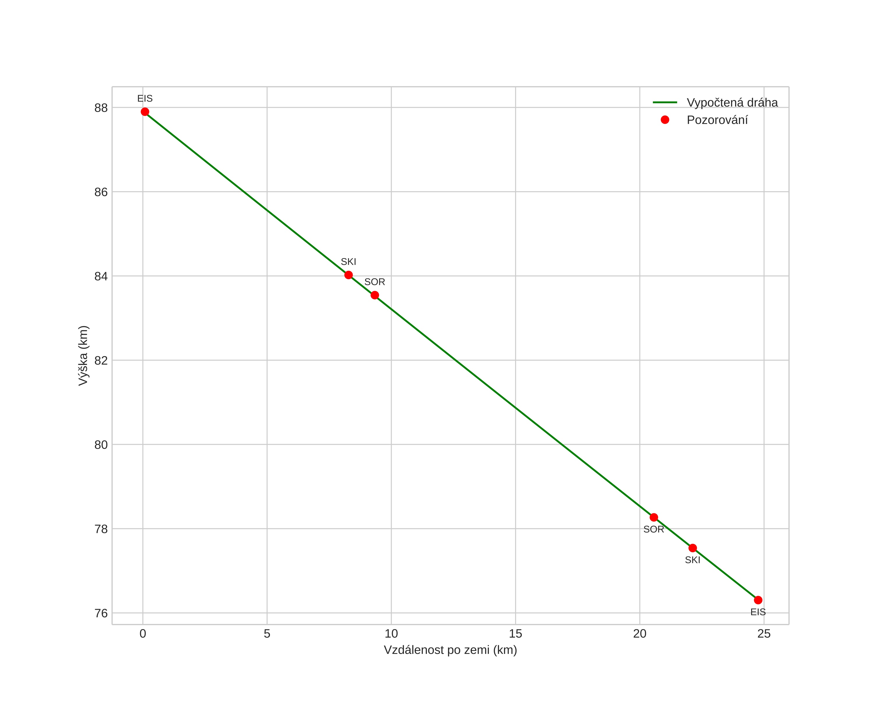
height profile
Atmosférická dráha meteoru:
Počáteční výška: 87,9 km
Konečná výška: 76,3 km
Počáteční poloha: 69,512N 19,936E
Konečná poloha: 69,655N 19,447E
Směr: 310,2°
Sklon: 25,1°
VstupnĂ­ rychlost: 32,2 km/s
Rektascenze radiantu: 01:19 (19,8°)
Deklinace radiantu: 8,8°
MeteorickĂ˝ roj: JiĹľnĂ­ Tauridy
Elementy dráhy meteoroidu:
Vzdálenost v periheliu: 0,316 AU
Excentricita: 0,872
Sklon dráhy: 0,5°
Délka vzestupného uzlu: 188,3°
Argument perihelia: 298,1°
Střední anomálie: 349,5°
Epocha: 2022 OCT 01 20:17:43
orbit plot

NeinteraktivnĂ­ graf

position vs time
speed and acceleration