🇳🇴 🇬🇧 🇩🇪 🇨🇿 🇫🇮

Meteor über Hansnes 2022-10-01 20:17:43 UTC

KML-Datei  |  Interaktive Karte

Die Karte zeigt die Peilungen für den Meteor. Die helleren Linien zeigen die Richtungen von den Beobachtungsorten beim Erscheinen des Meteors, und die dunkleren Linien, wo er zuletzt gesehen wurde. Der blaue Pfeil zeigt die sichtbare Bahn des Meteors.

static map
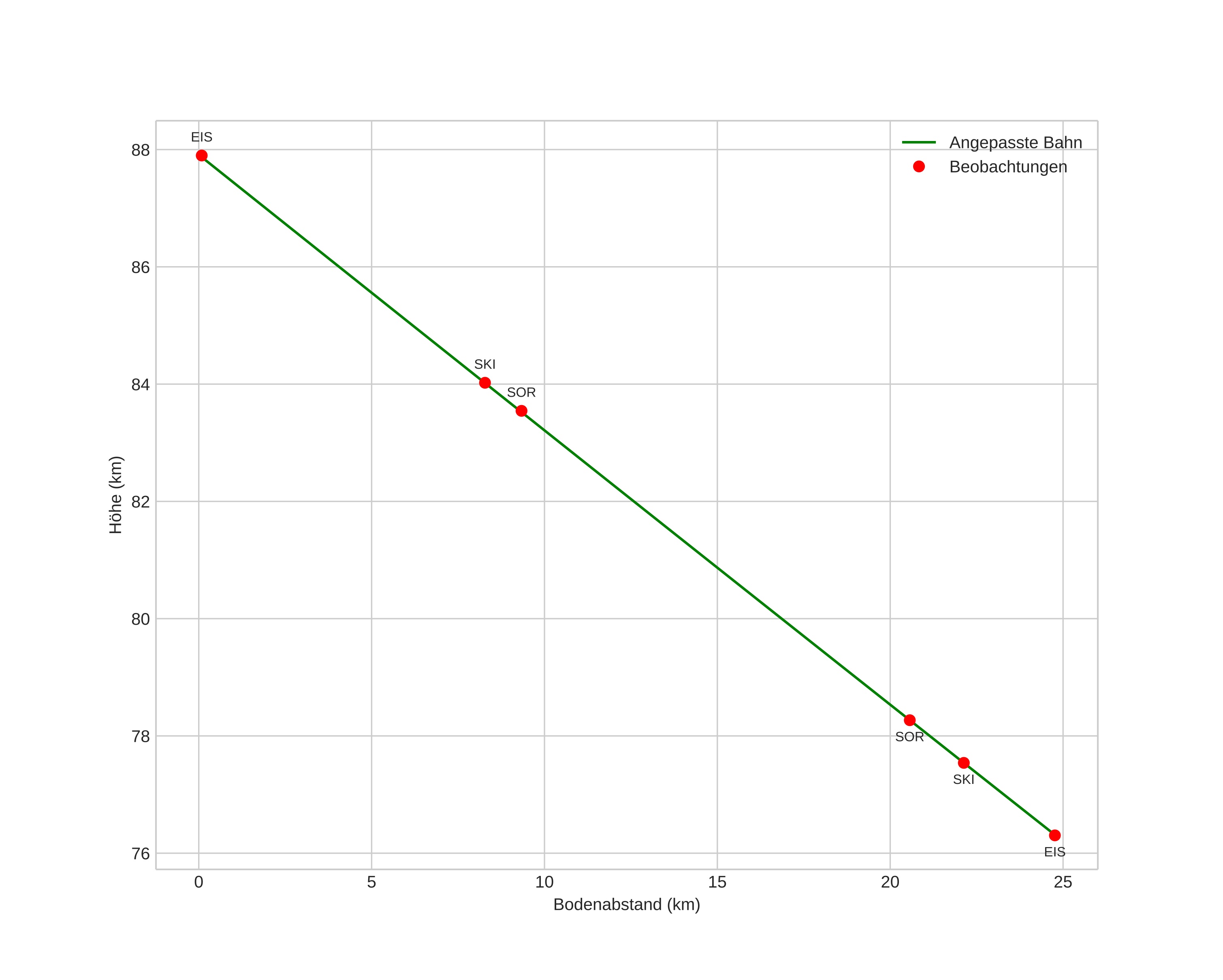
height profile
Atmosphärische Bahn des Meteors:
Anfangshöhe: 87,9 km
Endhöhe: 76,3 km
Startposition: 69,512N 19,936E
Endposition: 69,655N 19,447E
Richtung: 310,2°
Neigungswinkel: 25,1°
Eintrittsgeschwindigkeit: 32,2 km/s
Rektaszension des Radianten: 01:19 (19,8°)
Deklination des Radianten: 8,8°
Meteorstrom: Südliche Tauriden
Bahnelemente des Meteoroiden:
Periheldistanz: 0,316 AU
Exzentrizität: 0,872
Inklination: 0,6°
Länge des aufsteigenden Knotens: 188,3°
Argument des Perihels: 298,1°
Mittlere Anomalie: 349,5°
Epoche: 2022 OCT 01 20:17:43
orbit plot

Nicht-interaktives Diagramm | Interaktives Diagramm

position vs time
speed and acceleration