🇳🇴 🇬🇧 🇩🇪 🇨🇿 🇫🇮

Meteor, poloha: Rovaniemi 2022-10-01 22:35:29 UTC

Soubor KML  |  InteraktivnĂ­ mapa

Mapa zobrazuje dráhy meteoru. Světlejší čáry ukazují směry od pozorovacích stanic při objevení se meteoru a tmavší čáry, kde byl naposledy viděn. Modrá šipka značí viditelnou dráhu meteoru.

static map
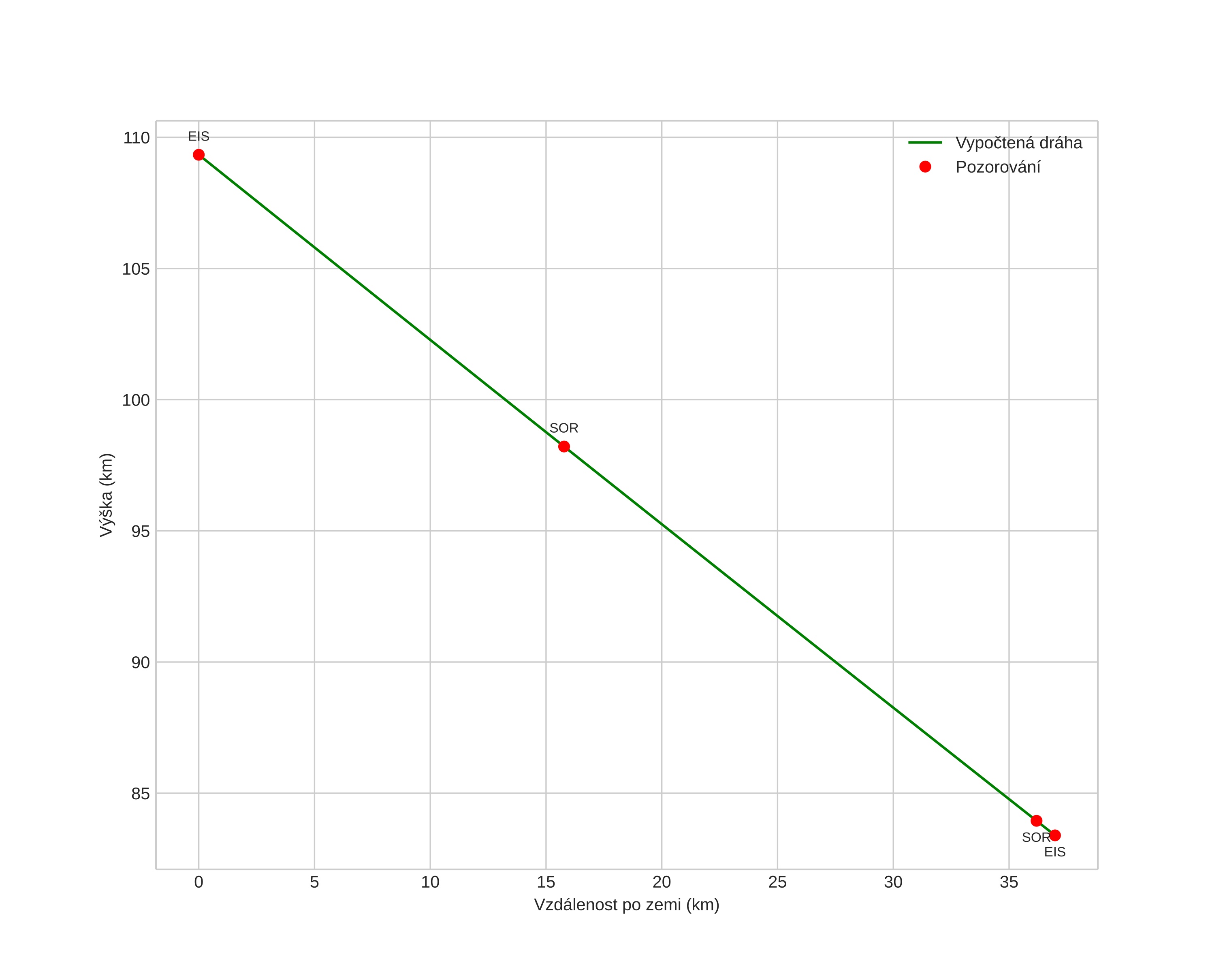
height profile
Atmosférická dráha meteoru:
Počáteční výška: 111,7 km
Konečná výška: 82,9 km
Počáteční poloha: 66,347N 26,648E
Konečná poloha: 66,282N 25,756E
Směr: 260,0°
Sklon: 35,4°
VstupnĂ­ rychlost: 56,7 km/s
Rektascenze radiantu: 06:34 (98,6°)
Deklinace radiantu: 35,6°
MeteorickĂ˝ roj: sporadickĂ˝
Elementy dráhy meteoroidu:
Vzdálenost v periheliu: 0,707 AU
Excentricita: 0,177
Sklon dráhy: 154,1°
Délka vzestupného uzlu: 188,4°
Argument perihelia: 342,9°
Střední anomálie: 203,9°
Epocha: 2022 OCT 01 22:35:29
orbit plot

NeinteraktivnĂ­ graf | InteraktivnĂ­ graf

position vs time
speed and acceleration