🇳🇴 🇬🇧 🇩🇪 🇨🇿 🇫🇮

Meteor, poloha: Ă–verkalix 2022-10-02 02:02:42 UTC

Soubor KML  |  InteraktivnĂ­ mapa

Mapa zobrazuje dráhy meteoru. Světlejší čáry ukazují směry od pozorovacích stanic při objevení se meteoru a tmavší čáry, kde byl naposledy viděn. Modrá šipka značí viditelnou dráhu meteoru.

static map
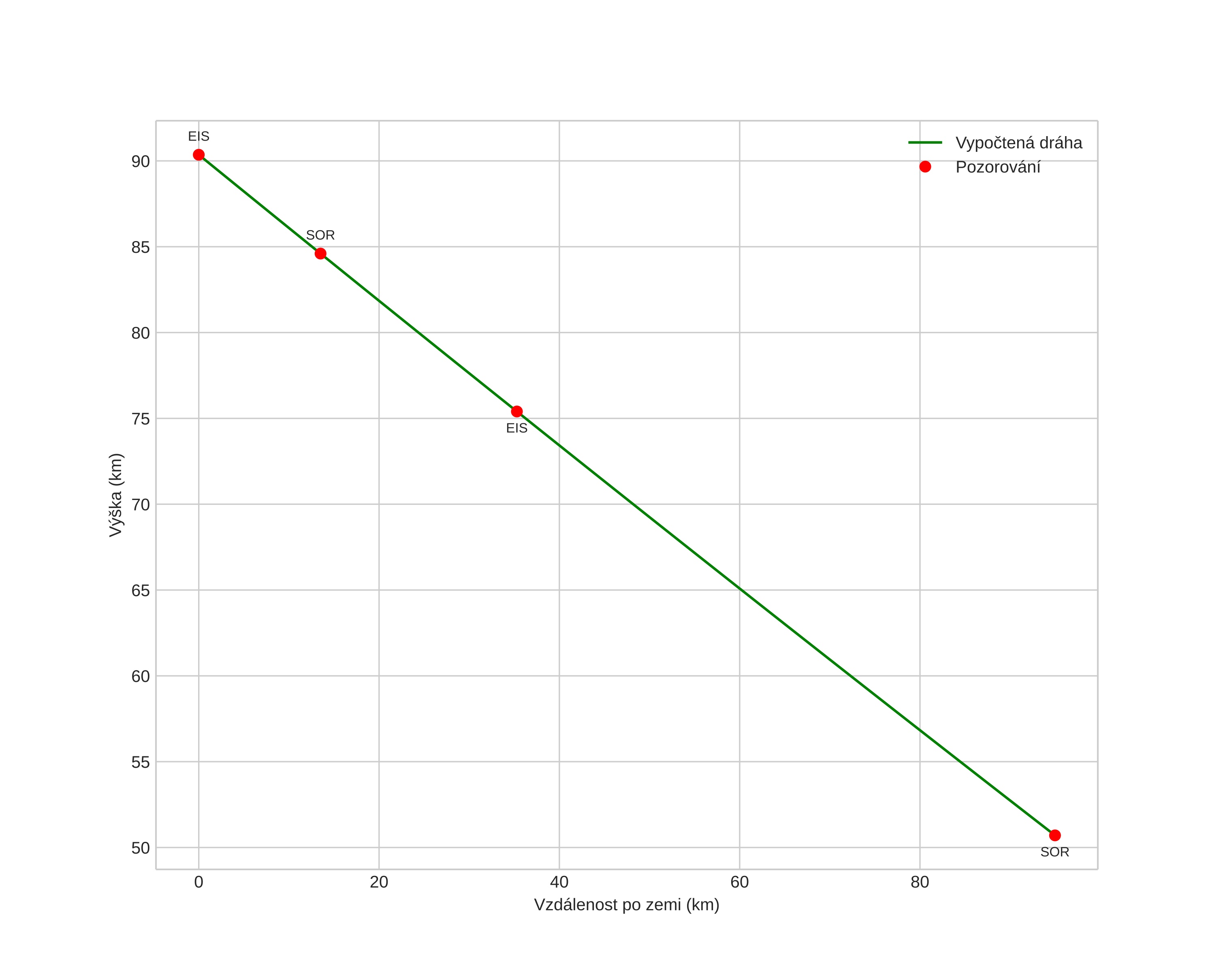
height profile
Atmosférická dráha meteoru:
Počáteční výška: 91,5 km
Konečná výška: 48,7 km
Počáteční poloha: 66,947N 20,076E
Konečná poloha: 67,267N 22,061E
Směr: 66,6°
Sklon: 24,7°
VstupnĂ­ rychlost: 18,6 km/s
Rektascenze radiantu: 23:54 (358,7°)
Deklinace radiantu: 6,5°
MeteorickĂ˝ roj: sporadickĂ˝
Elementy dráhy meteoroidu:
Vzdálenost v periheliu: 0,724 AU
Excentricita: 0,566
Sklon dráhy: 3,1°
Délka vzestupného uzlu: 188,6°
Argument perihelia: 256,5°
Střední anomálie: 337,9°
Epocha: 2022 OCT 02 02:02:42
orbit plot

NeinteraktivnĂ­ graf | InteraktivnĂ­ graf

position vs time
speed and acceleration