🇳🇴 🇬🇧 🇩🇪 🇨🇿 🇫🇮

Meteor Överkalixin yllä 2022-10-02 02:02:42 UTC

KML-tiedosto  |  Interaktiivinen kartta

Kartta näyttää meteorin suuntahavainnot. Vaaleammat viivat näyttävät suunnat havaintoasemilta meteorin ilmestyessä, ja tummemmat viivat näyttävät, missä se viimeksi nähtiin. Sininen nuoli näyttää meteorin näkyvän lennon.

static map
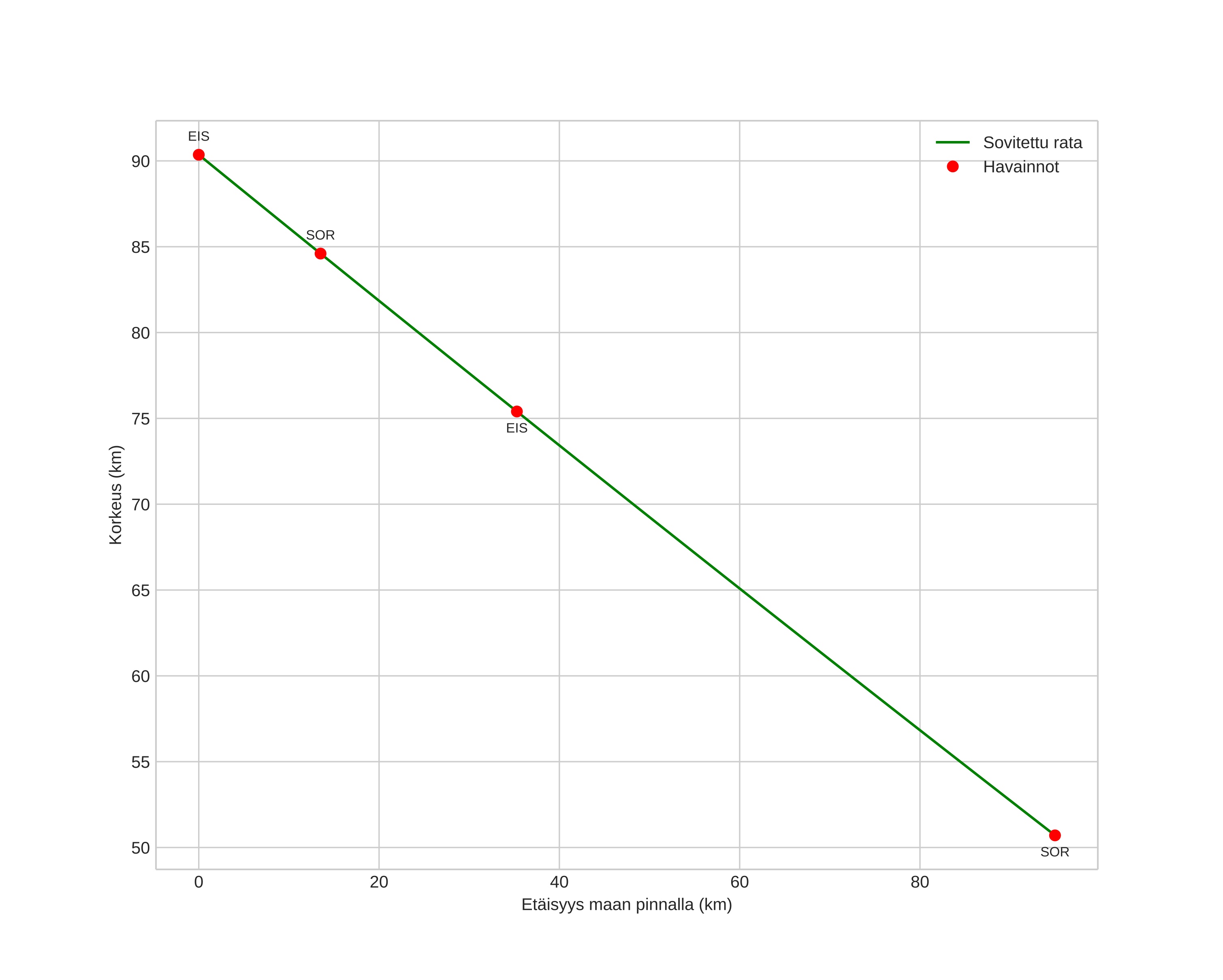
height profile
Meteorin ilmakehärata:
Alkukorkeus: 91,5 km
Loppukorkeus: 48,7 km
Alkupiste: 66,947N 20,076E
Loppupiste: 67,267N 22,061E
Suunta: 66,6°
Kallistuskulma: 24,7°
Tulonopeus: 18,6 km/s
Radiantin R,A,: 23:54 (358,7°)
Radiantin Dekl,: 6,5°
Meteoriparvi: Sporadinen
Meteoroidin rataelementit:
Perihelietäisyys: 0,724 AU
Eksentrisyys: 0,566
Inklinaatio: 3,1°
Nousevan solmun pituus: 188,6°
Perihelin argumentti: 256,5°
Keskianomalia: 337,9°
Epookki: 2022 OCT 02 02:02:42
orbit plot

Ei-interaktiivinen kuvaaja | Interaktiivinen kuvaaja

position vs time
speed and acceleration