🇳🇴 🇬🇧 🇩🇪 🇨🇿 🇫🇮

Meteor, poloha: Utsira 2022-10-03 01:10:54 UTC

Soubor KML  |  InteraktivnĂ­ mapa

Mapa zobrazuje dráhy meteoru. Světlejší čáry ukazují směry od pozorovacích stanic při objevení se meteoru a tmavší čáry, kde byl naposledy viděn. Modrá šipka značí viditelnou dráhu meteoru.

static map
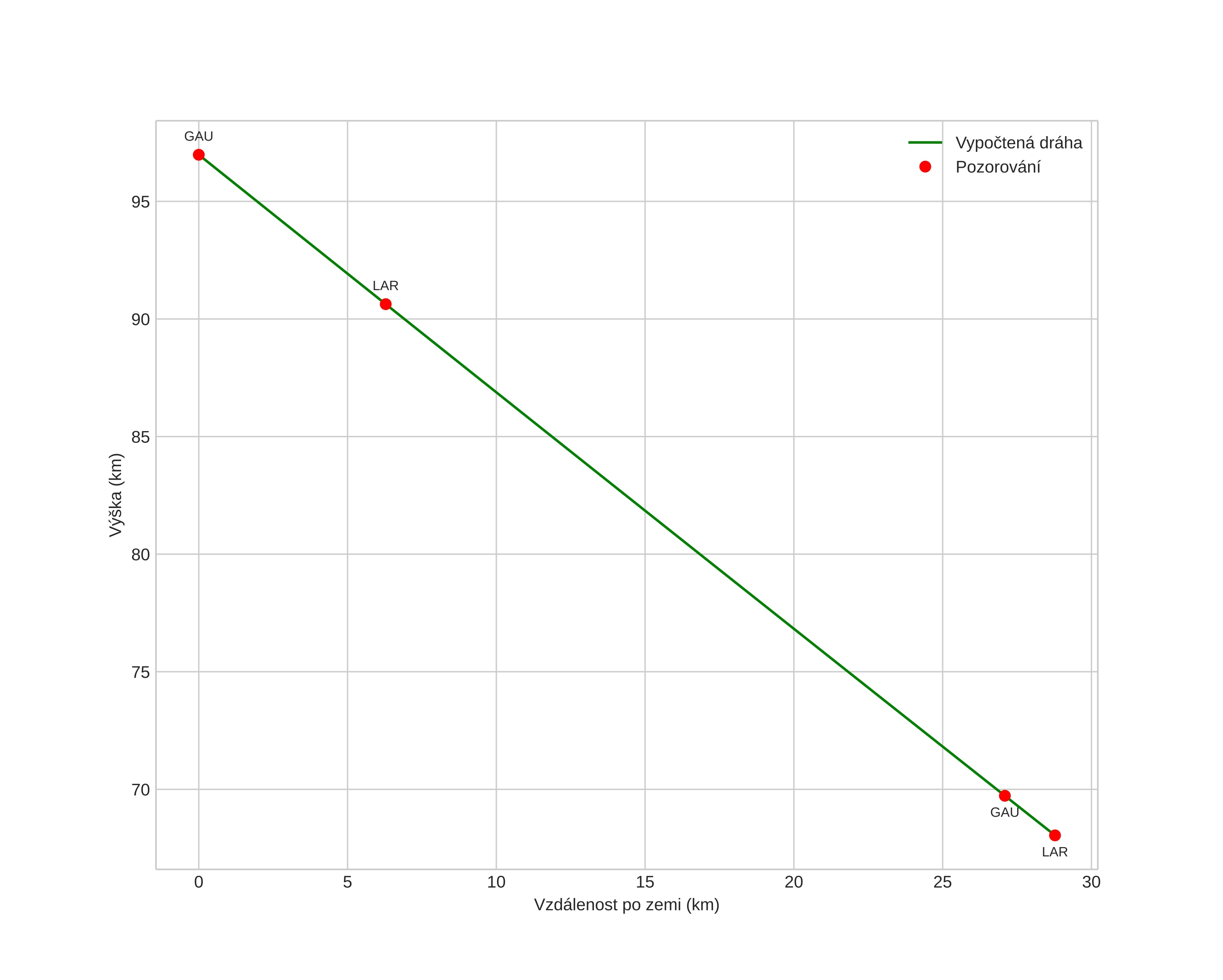
height profile
Atmosférická dráha meteoru:
Počáteční výška: 90,9 km
Konečná výška: 65,4 km
Počáteční poloha: 58,293N 4,176E
Konečná poloha: 58,501N 4,264E
Směr: 12,4°
Sklon: 47,1°
VstupnĂ­ rychlost: 32,9 km/s
Rektascenze radiantu: 01:35 (23,9°)
Deklinace radiantu: 14,3°
MeteorickĂ˝ roj: sporadickĂ˝
Elementy dráhy meteoroidu:
Vzdálenost v periheliu: 0,251 AU
Excentricita: 0,870
Sklon dráhy: 6,2°
Délka vzestupného uzlu: 189,5°
Argument perihelia: 307,6°
Střední anomálie: 345,1°
Epocha: 2022 OCT 03 01:10:54
orbit plot

NeinteraktivnĂ­ graf | InteraktivnĂ­ graf

position vs time
speed and acceleration