🇳🇴 🇬🇧 🇩🇪 🇨🇿 🇫🇮

Meteor Utsiran yllä 2022-10-03 01:10:54 UTC

KML-tiedosto  |  Interaktiivinen kartta

Kartta näyttää meteorin suuntahavainnot. Vaaleammat viivat näyttävät suunnat havaintoasemilta meteorin ilmestyessä, ja tummemmat viivat näyttävät, missä se viimeksi nähtiin. Sininen nuoli näyttää meteorin näkyvän lennon.

static map
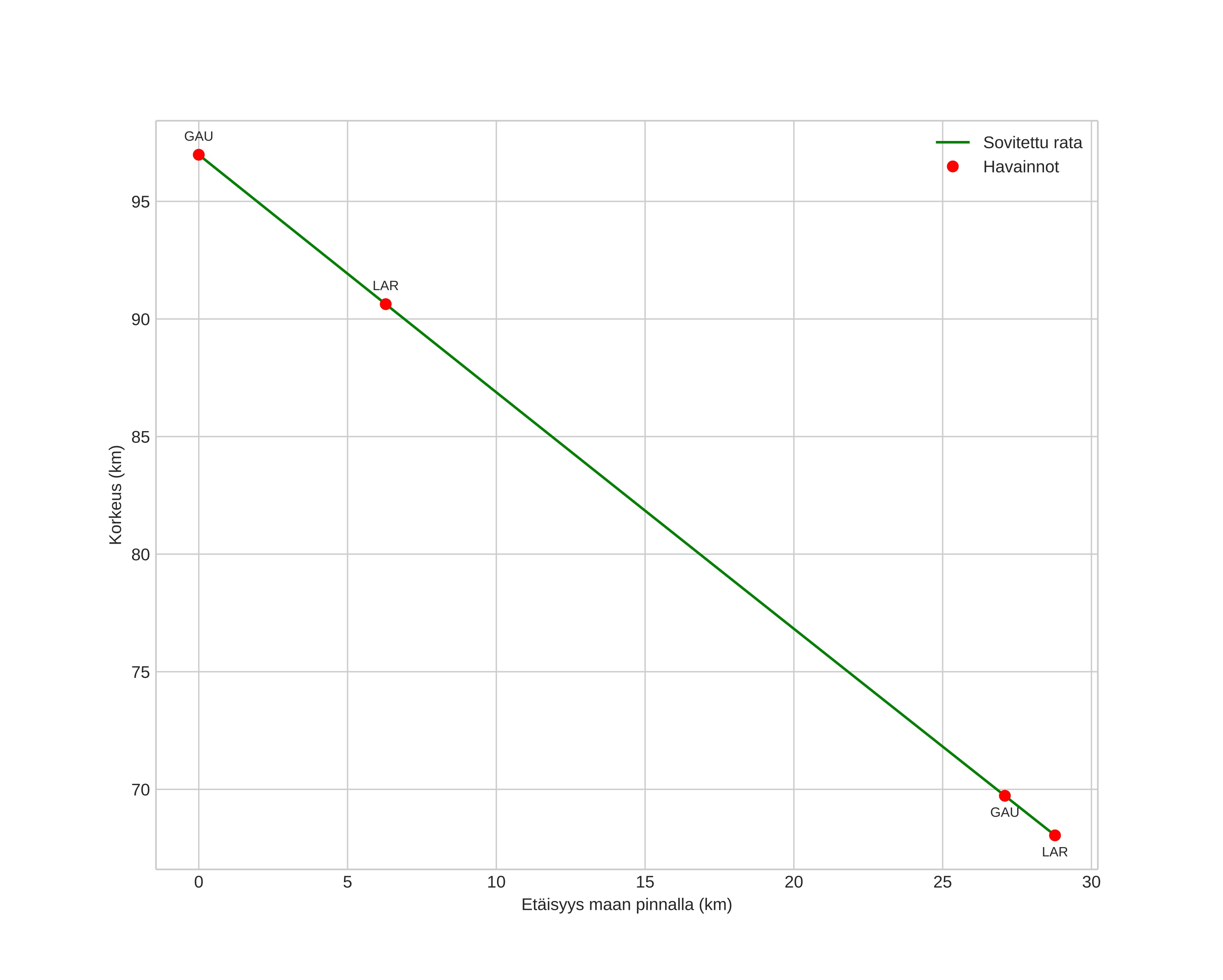
height profile
Meteorin ilmakehärata:
Alkukorkeus: 90,9 km
Loppukorkeus: 65,4 km
Alkupiste: 58,293N 4,176E
Loppupiste: 58,501N 4,264E
Suunta: 12,4°
Kallistuskulma: 47,1°
Tulonopeus: 32,9 km/s
Radiantin R,A,: 01:35 (23,9°)
Radiantin Dekl,: 14,3°
Meteoriparvi: Sporadinen
Meteoroidin rataelementit:
Perihelietäisyys: 0,251 AU
Eksentrisyys: 0,870
Inklinaatio: 6,2°
Nousevan solmun pituus: 189,5°
Perihelin argumentti: 307,6°
Keskianomalia: 345,1°
Epookki: 2022 OCT 03 01:10:54
orbit plot

Ei-interaktiivinen kuvaaja | Interaktiivinen kuvaaja

position vs time
speed and acceleration