🇳🇴 🇬🇧 🇩🇪 🇨🇿 🇫🇮

Meteor, poloha: Grenaa 2022-10-03 22:26:35 UTC

Soubor KML  |  InteraktivnĂ­ mapa

Mapa zobrazuje dráhy meteoru. Světlejší čáry ukazují směry od pozorovacích stanic při objevení se meteoru a tmavší čáry, kde byl naposledy viděn. Modrá šipka značí viditelnou dráhu meteoru.

static map
height profile
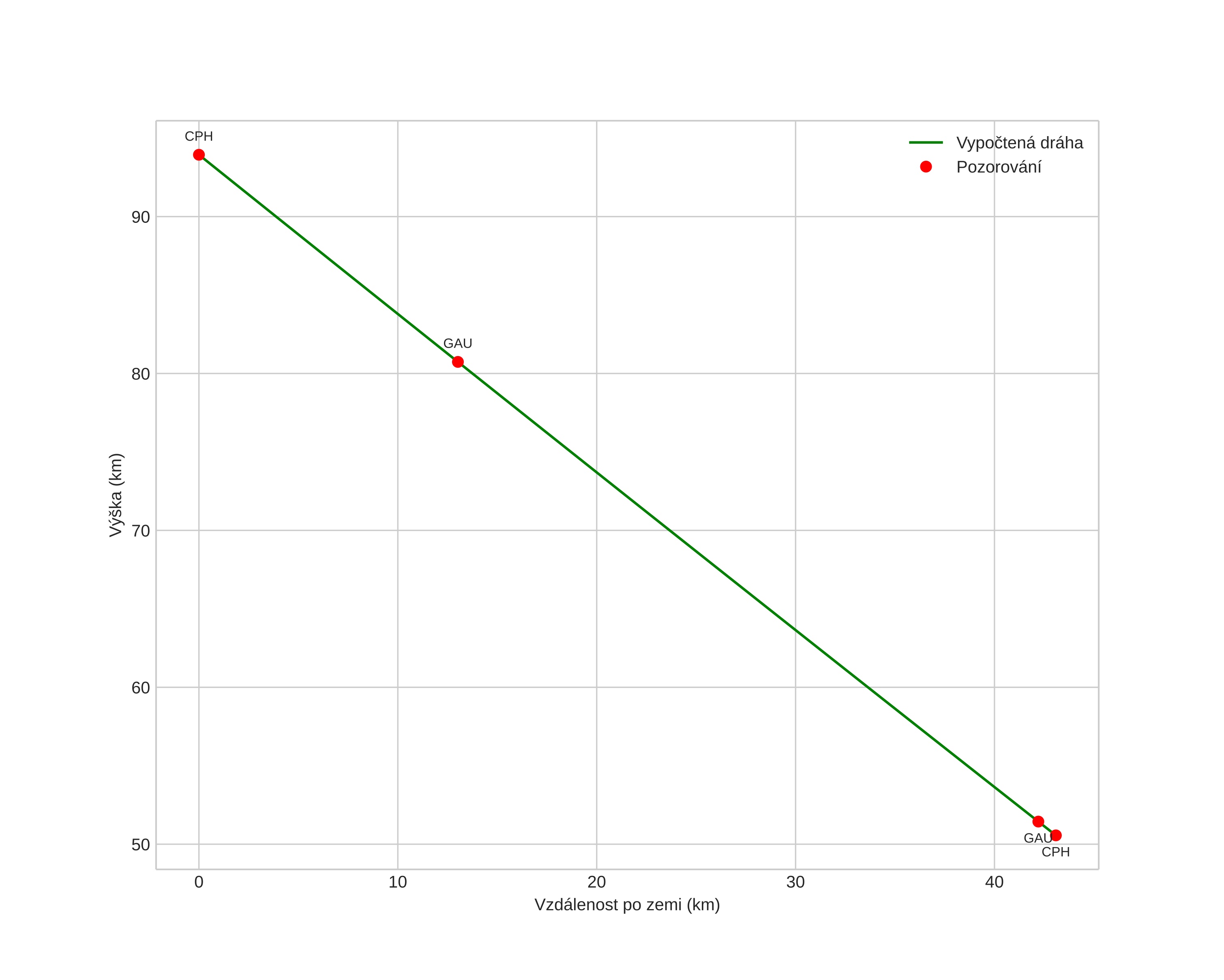
Atmosférická dráha meteoru:
Počáteční výška: 87,8 km
Konečná výška: 47,2 km
Počáteční poloha: 55,876N 11,774E
Konečná poloha: 56,526N 11,441E
Směr: 344,2°
Sklon: 28,4°
VstupnĂ­ rychlost: 37,2 km/s
Rektascenze radiantu: 00:57 (14,4°)
Deklinace radiantu: -6,4°
MeteorickĂ˝ roj: sporadickĂ˝
Elementy dráhy meteoroidu:
Vzdálenost v periheliu: 0,472 AU
Excentricita: 1,209
Sklon dráhy: 13,5°
Délka vzestupného uzlu: 10,4°
Argument perihelia: 88,0°
Střední anomálie: -10,0°
Epocha: 2022 OCT 03 22:26:35
orbit plot

NeinteraktivnĂ­ graf | InteraktivnĂ­ graf

position vs time
speed and acceleration