🇳🇴 🇬🇧 🇩🇪 🇨🇿 🇫🇮

Meteor Grenaan yllä 2022-10-03 22:26:35 UTC

KML-tiedosto  |  Interaktiivinen kartta

Kartta näyttää meteorin suuntahavainnot. Vaaleammat viivat näyttävät suunnat havaintoasemilta meteorin ilmestyessä, ja tummemmat viivat näyttävät, missä se viimeksi nähtiin. Sininen nuoli näyttää meteorin näkyvän lennon.

static map
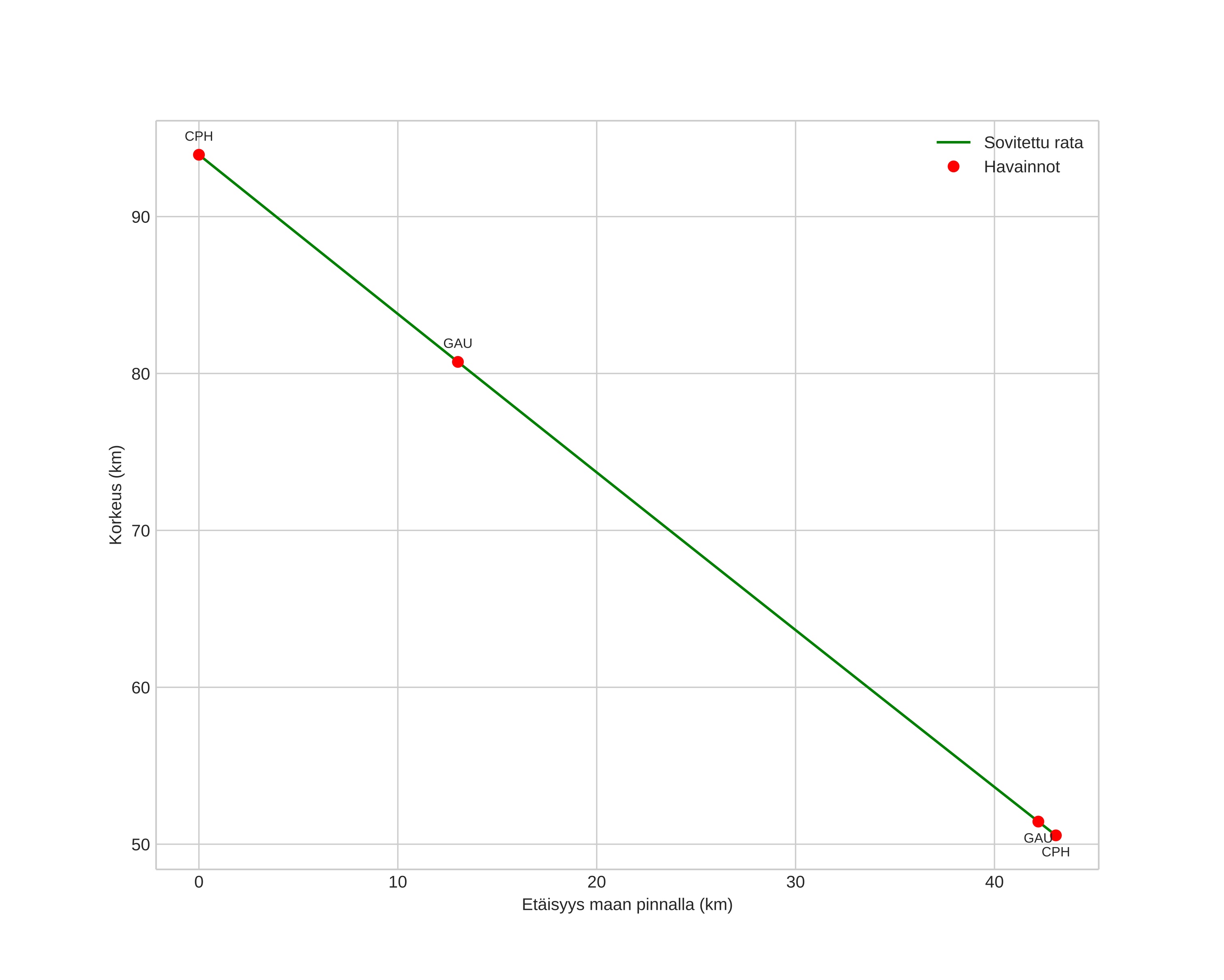
height profile
Meteorin ilmakehärata:
Alkukorkeus: 87,8 km
Loppukorkeus: 47,2 km
Alkupiste: 55,876N 11,774E
Loppupiste: 56,526N 11,441E
Suunta: 344,2°
Kallistuskulma: 28,4°
Tulonopeus: 37,2 km/s
Radiantin R,A,: 00:57 (14,4°)
Radiantin Dekl,: -6,4°
Meteoriparvi: Sporadinen
Meteoroidin rataelementit:
Perihelietäisyys: 0,472 AU
Eksentrisyys: 1,209
Inklinaatio: 13,5°
Nousevan solmun pituus: 10,4°
Perihelin argumentti: 88,0°
Keskianomalia: -10,0°
Epookki: 2022 OCT 03 22:26:35
orbit plot

Ei-interaktiivinen kuvaaja | Interaktiivinen kuvaaja

position vs time
speed and acceleration