🇳🇴 🇬🇧 🇩🇪 🇨🇿 🇫🇮

Meteor, poloha: Sauland 2022-10-03 23:38:00 UTC

Soubor KML  |  InteraktivnĂ­ mapa

Mapa zobrazuje dráhy meteoru. Světlejší čáry ukazují směry od pozorovacích stanic při objevení se meteoru a tmavší čáry, kde byl naposledy viděn. Modrá šipka značí viditelnou dráhu meteoru.

static map
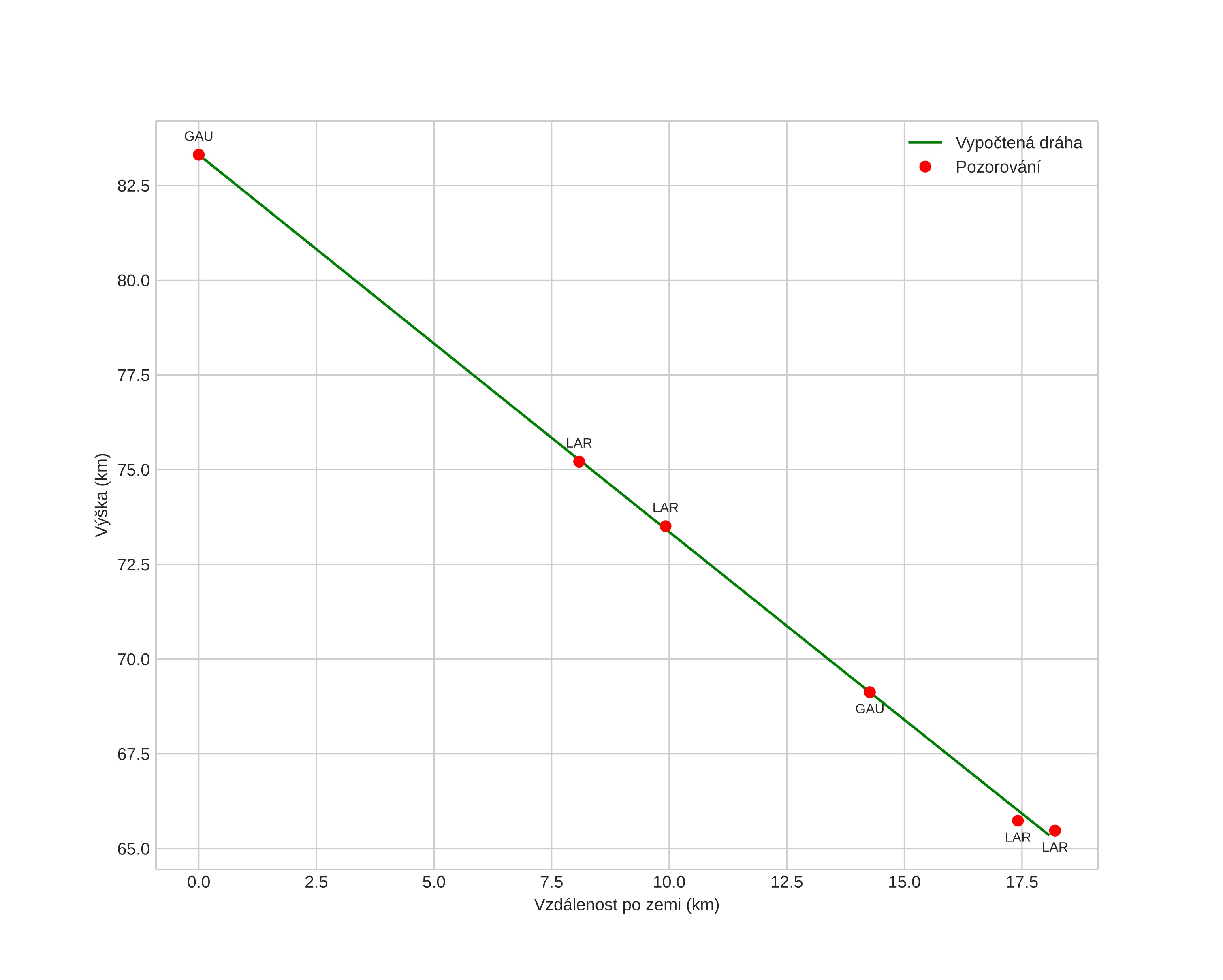
height profile
Atmosférická dráha meteoru:
Počáteční výška: 83,3 km
Konečná výška: 65,2 km
Počáteční poloha: 59,783N 8,711E
Konečná poloha: 59,809N 9,033E
Směr: 80,7°
Sklon: 44,8°
VstupnĂ­ rychlost: 18,4 km/s
Rektascenze radiantu: 20:58 (314,5°)
Deklinace radiantu: 28,6°
MeteorickĂ˝ roj: sporadickĂ˝
Elementy dráhy meteoroidu:
Vzdálenost v periheliu: 0,947 AU
Excentricita: 0,763
Sklon dráhy: 15,5°
Délka vzestupného uzlu: 190,4°
Argument perihelia: 208,9°
Střední anomálie: 357,4°
Epocha: 2022 OCT 03 23:38:00
orbit plot

NeinteraktivnĂ­ graf | InteraktivnĂ­ graf

position vs time
speed and acceleration