🇳🇴 🇬🇧 🇩🇪 🇨🇿 🇫🇮

Meteor, poloha: Kiruna 2022-10-04 01:45:56 UTC

Soubor KML  |  InteraktivnĂ­ mapa

Mapa zobrazuje dráhy meteoru. Světlejší čáry ukazují směry od pozorovacích stanic při objevení se meteoru a tmavší čáry, kde byl naposledy viděn. Modrá šipka značí viditelnou dráhu meteoru.

static map
height profile
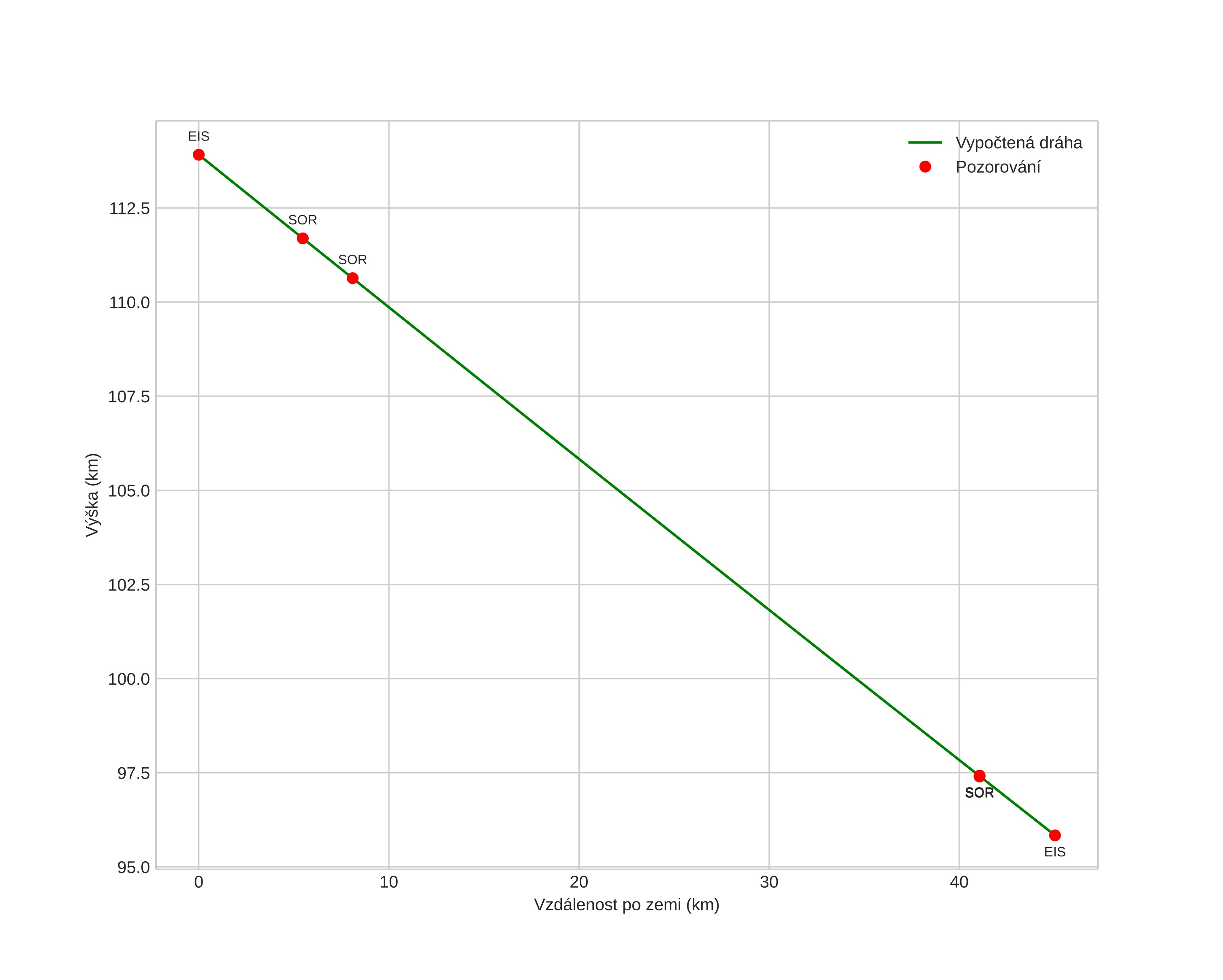
Atmosférická dráha meteoru:
Počáteční výška: 115,6 km
Konečná výška: 96,2 km
Počáteční poloha: 68,526N 21,682E
Konečná poloha: 68,586N 20,575E
Směr: 278,9°
Sklon: 23,1°
VstupnĂ­ rychlost: 72,3 km/s
Rektascenze radiantu: 08:54 (133,7°)
Deklinace radiantu: 17,9°
MeteorickĂ˝ roj: sporadickĂ˝
Elementy dráhy meteoroidu:
Vzdálenost v periheliu: 0,495 AU
Excentricita: 1,284
Sklon dráhy: 178,9°
Délka vzestupného uzlu: 190,6°
Argument perihelia: 95,8°
Střední anomálie: 14,3°
Epocha: 2022 OCT 04 01:45:56
orbit plot

NeinteraktivnĂ­ graf | InteraktivnĂ­ graf

position vs time
speed and acceleration