🇳🇴 🇬🇧 🇩🇪 🇨🇿 🇫🇮

Meteor Kirunan yllä 2022-10-04 01:45:56 UTC

KML-tiedosto  |  Interaktiivinen kartta

Kartta näyttää meteorin suuntahavainnot. Vaaleammat viivat näyttävät suunnat havaintoasemilta meteorin ilmestyessä, ja tummemmat viivat näyttävät, missä se viimeksi nähtiin. Sininen nuoli näyttää meteorin näkyvän lennon.

static map
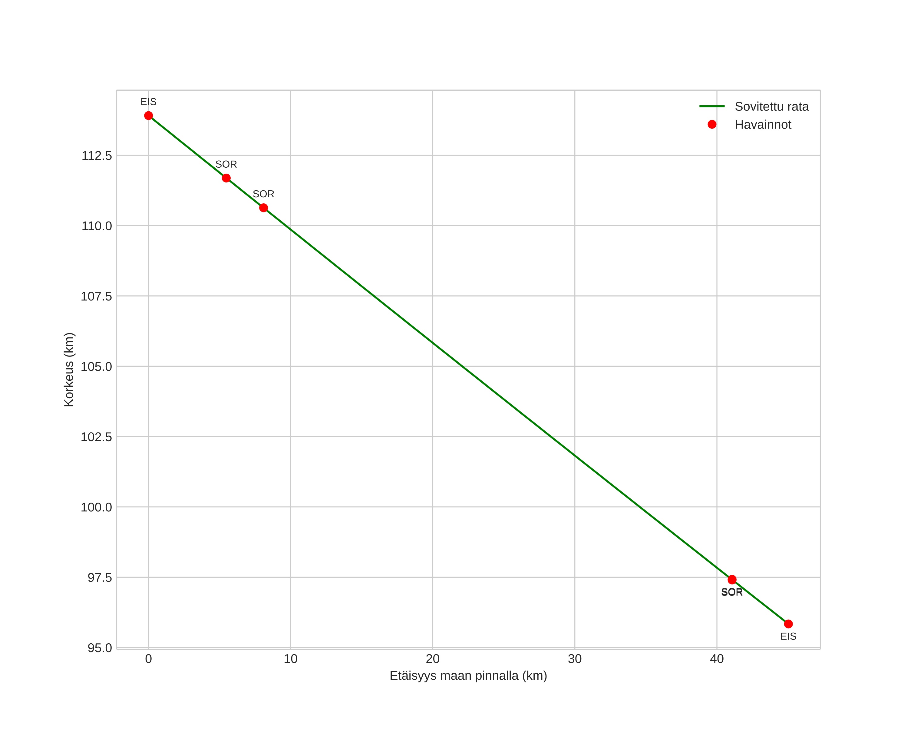
height profile
Meteorin ilmakehärata:
Alkukorkeus: 115,6 km
Loppukorkeus: 96,2 km
Alkupiste: 68,526N 21,682E
Loppupiste: 68,586N 20,575E
Suunta: 278,9°
Kallistuskulma: 23,1°
Tulonopeus: 72,3 km/s
Radiantin R,A,: 08:54 (133,7°)
Radiantin Dekl,: 17,9°
Meteoriparvi: Sporadinen
Meteoroidin rataelementit:
Perihelietäisyys: 0,495 AU
Eksentrisyys: 1,284
Inklinaatio: 178,9°
Nousevan solmun pituus: 190,6°
Perihelin argumentti: 95,8°
Keskianomalia: 14,3°
Epookki: 2022 OCT 04 01:45:56
orbit plot

Ei-interaktiivinen kuvaaja | Interaktiivinen kuvaaja

position vs time
speed and acceleration