🇳🇴 🇬🇧 🇩🇪 🇨🇿 🇫🇮

Meteor, poloha: Moen 2022-10-04 19:04:30 UTC

Soubor KML  |  InteraktivnĂ­ mapa

Mapa zobrazuje dráhy meteoru. Světlejší čáry ukazují směry od pozorovacích stanic při objevení se meteoru a tmavší čáry, kde byl naposledy viděn. Modrá šipka značí viditelnou dráhu meteoru.

static map
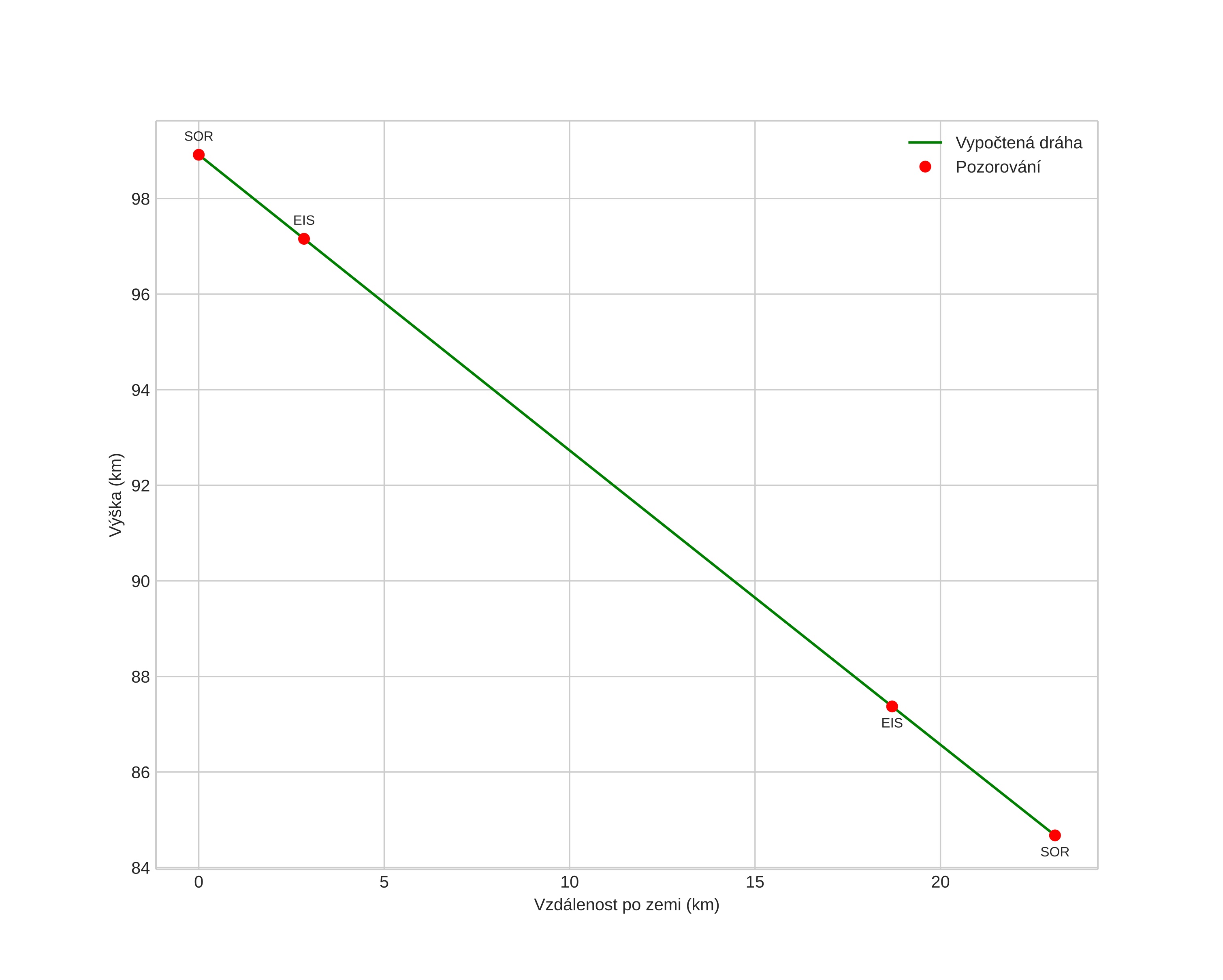
height profile
Atmosférická dráha meteoru:
Počáteční výška: 100,3 km
Konečná výška: 84,9 km
Počáteční poloha: 69,016N 19,380E
Konečná poloha: 69,131N 18,847E
Směr: 301,5°
Sklon: 31,9°
VstupnĂ­ rychlost: 31,0 km/s
Rektascenze radiantu: 00:37 (9,3°)
Deklinace radiantu: 17,4°
MeteorickĂ˝ roj: sporadickĂ˝
Elementy dráhy meteoroidu:
Vzdálenost v periheliu: 0,474 AU
Excentricita: 0,918
Sklon dráhy: 12,5°
Délka vzestupného uzlu: 191,2°
Argument perihelia: 275,7°
Střední anomálie: 357,1°
Epocha: 2022 OCT 04 19:04:30
orbit plot

NeinteraktivnĂ­ graf | InteraktivnĂ­ graf

position vs time
speed and acceleration