🇳🇴 🇬🇧 🇩🇪 🇨🇿 🇫🇮

Meteor Moenin yllä 2022-10-04 19:04:30 UTC

KML-tiedosto  |  Interaktiivinen kartta

Kartta näyttää meteorin suuntahavainnot. Vaaleammat viivat näyttävät suunnat havaintoasemilta meteorin ilmestyessä, ja tummemmat viivat näyttävät, missä se viimeksi nähtiin. Sininen nuoli näyttää meteorin näkyvän lennon.

static map
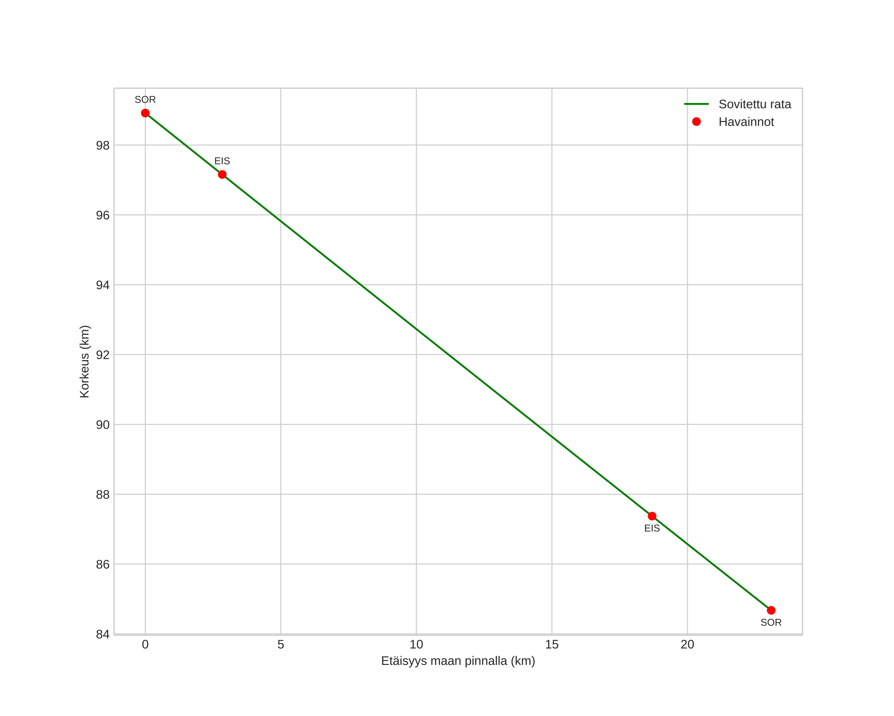
height profile
Meteorin ilmakehärata:
Alkukorkeus: 100,3 km
Loppukorkeus: 84,9 km
Alkupiste: 69,016N 19,380E
Loppupiste: 69,131N 18,847E
Suunta: 301,5°
Kallistuskulma: 31,9°
Tulonopeus: 31,0 km/s
Radiantin R,A,: 00:37 (9,3°)
Radiantin Dekl,: 17,4°
Meteoriparvi: Sporadinen
Meteoroidin rataelementit:
Perihelietäisyys: 0,474 AU
Eksentrisyys: 0,918
Inklinaatio: 12,5°
Nousevan solmun pituus: 191,2°
Perihelin argumentti: 275,7°
Keskianomalia: 357,1°
Epookki: 2022 OCT 04 19:04:30
orbit plot

Ei-interaktiivinen kuvaaja | Interaktiivinen kuvaaja

position vs time
speed and acceleration