🇳🇴 🇬🇧 🇩🇪 🇨🇿 🇫🇮

Meteor, poloha: Risør 2022-10-09 03:55:38 UTC

Soubor KML  |  InteraktivnĂ­ mapa

Mapa zobrazuje dráhy meteoru. Světlejší čáry ukazují směry od pozorovacích stanic při objevení se meteoru a tmavší čáry, kde byl naposledy viděn. Modrá šipka značí viditelnou dráhu meteoru.

static map
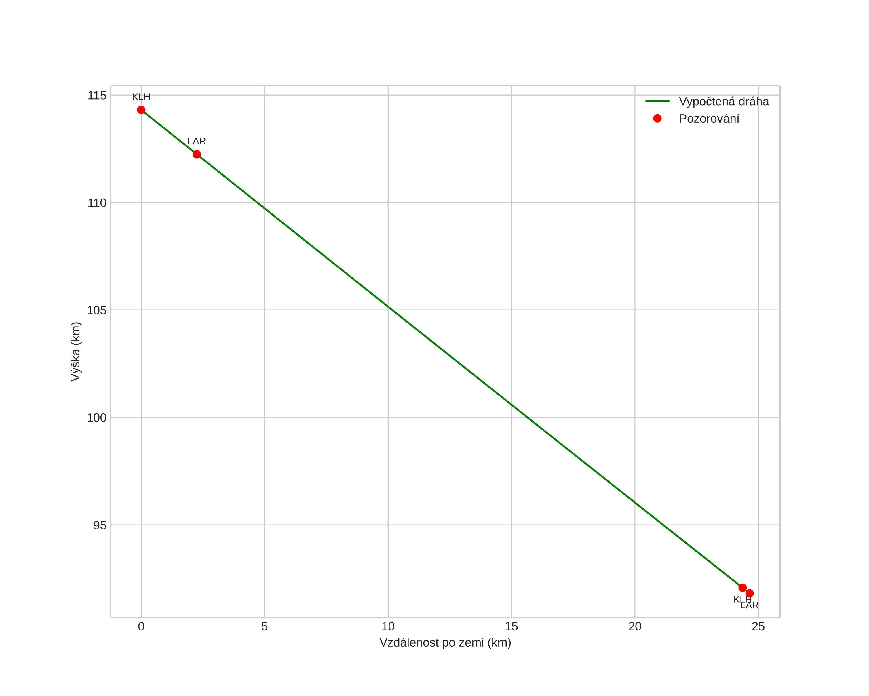
height profile
Atmosférická dráha meteoru:
Počáteční výška: 114,2 km
Konečná výška: 91,8 km
Počáteční poloha: 58,119N 9,486E
Konečná poloha: 58,339N 9,413E
Směr: 350,2°
Sklon: 42,1°
VstupnĂ­ rychlost: 73,0 km/s
Rektascenze radiantu: 06:11 (93,0°)
Deklinace radiantu: 10,2°
MeteorickĂ˝ roj: Orionidy
Elementy dráhy meteoroidu:
Vzdálenost v periheliu: 0,889 AU
Excentricita: 1,244
Sklon dráhy: 157,0°
Délka vzestupného uzlu: 15,5°
Argument perihelia: 36,8°
Střední anomálie: -3,2°
Epocha: 2022 OCT 09 03:55:38
orbit plot

NeinteraktivnĂ­ graf | InteraktivnĂ­ graf

position vs time
speed and acceleration