🇳🇴 🇬🇧 🇩🇪 🇨🇿 🇫🇮

Meteor Risørin yllä 2022-10-09 03:55:38 UTC

KML-tiedosto  |  Interaktiivinen kartta

Kartta näyttää meteorin suuntahavainnot. Vaaleammat viivat näyttävät suunnat havaintoasemilta meteorin ilmestyessä, ja tummemmat viivat näyttävät, missä se viimeksi nähtiin. Sininen nuoli näyttää meteorin näkyvän lennon.

static map
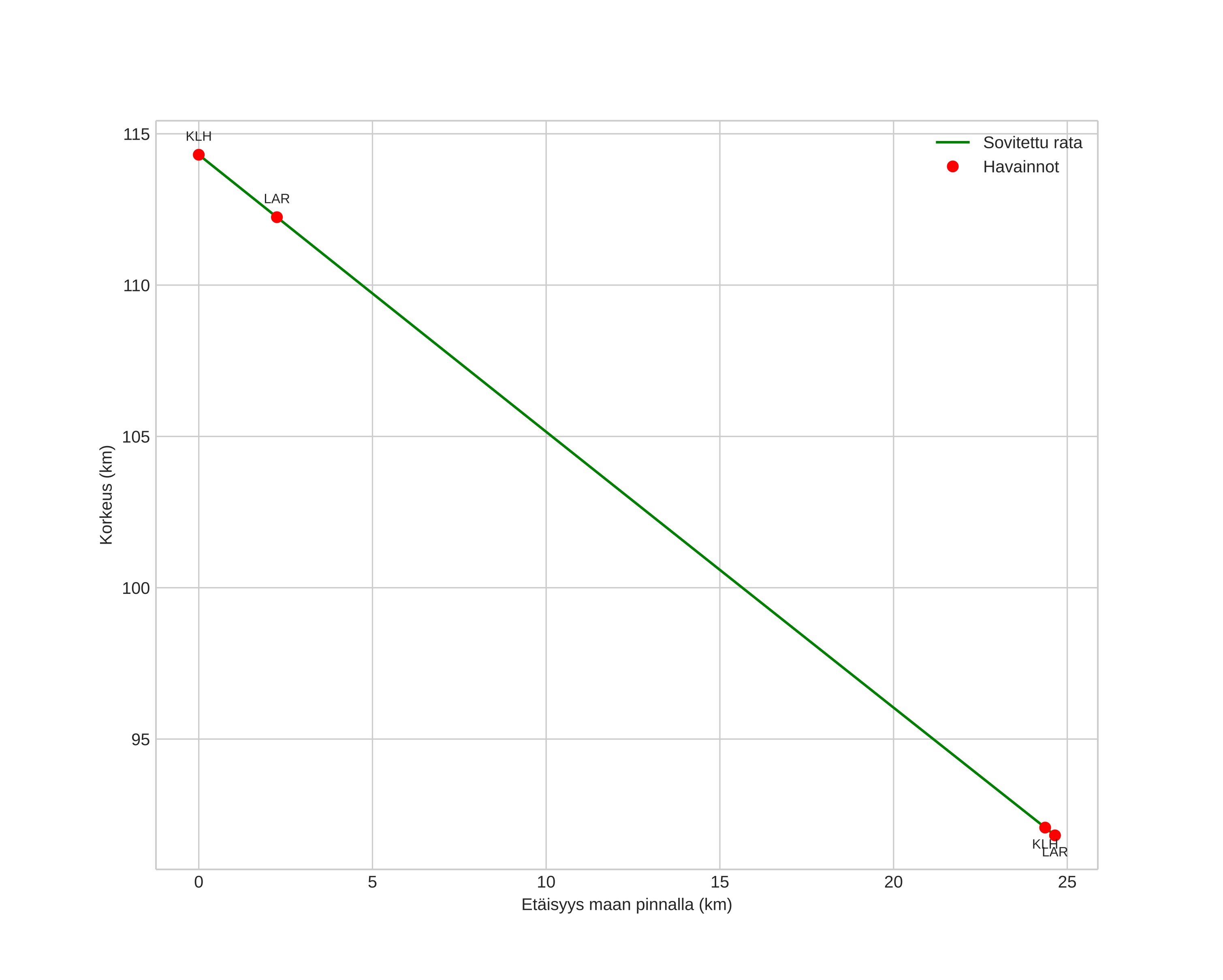
height profile
Meteorin ilmakehärata:
Alkukorkeus: 114,2 km
Loppukorkeus: 91,8 km
Alkupiste: 58,119N 9,486E
Loppupiste: 58,339N 9,413E
Suunta: 350,2°
Kallistuskulma: 42,1°
Tulonopeus: 73,0 km/s
Radiantin R,A,: 06:11 (93,0°)
Radiantin Dekl,: 10,2°
Meteoriparvi: Orionidit
Meteoroidin rataelementit:
Perihelietäisyys: 0,889 AU
Eksentrisyys: 1,244
Inklinaatio: 157,0°
Nousevan solmun pituus: 15,5°
Perihelin argumentti: 36,8°
Keskianomalia: -3,2°
Epookki: 2022 OCT 09 03:55:38
orbit plot

Ei-interaktiivinen kuvaaja | Interaktiivinen kuvaaja

position vs time
speed and acceleration