🇳🇴 🇬🇧 🇩🇪 🇨🇿 🇫🇮

Meteor, poloha: Harstad 2022-10-12 22:09:56 UTC

Soubor KML  |  InteraktivnĂ­ mapa

Mapa zobrazuje dráhy meteoru. Světlejší čáry ukazují směry od pozorovacích stanic při objevení se meteoru a tmavší čáry, kde byl naposledy viděn. Modrá šipka značí viditelnou dráhu meteoru.

static map
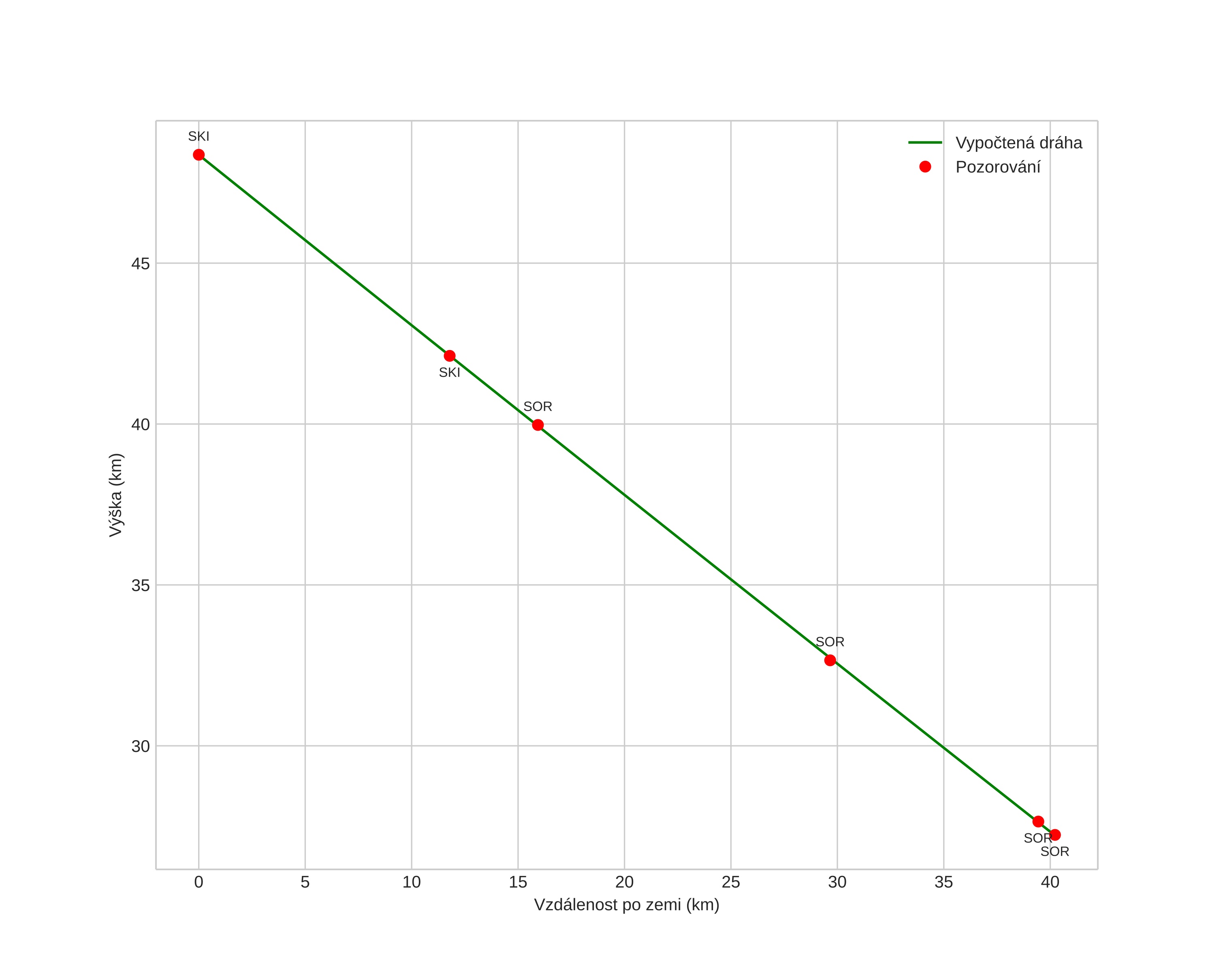
height profile
Atmosférická dráha meteoru:
Počáteční výška: 48,9 km
Konečná výška: 21,4 km
Počáteční poloha: 69,824N 16,636E
Konečná poloha: 69,401N 16,799E
Směr: 172,3°
Sklon: 30,1°
VstupnĂ­ rychlost: 30,5 km/s
Rektascenze radiantu: 13:23 (200,9°)
Deklinace radiantu: 47,8°
MeteorickĂ˝ roj: sporadickĂ˝
Elementy dráhy meteoroidu:
Vzdálenost v periheliu: 0,698 AU
Excentricita: 0,556
Sklon dráhy: 45,2°
Délka vzestupného uzlu: 199,3°
Argument perihelia: 99,2°
Střední anomálie: 24,9°
Epocha: 2022 OCT 12 22:09:56
orbit plot

NeinteraktivnĂ­ graf | InteraktivnĂ­ graf

position vs time
speed and acceleration

Sorreisa (SOR) cam4

gnomonic
Videa
• Původní
Obrázky
• Původní
Textové soubory
• Detekce
• Pozorování
• Souřadnice
• Chybová hlášení
• Protokol
Jasnost