🇳🇴 🇬🇧 🇩🇪 🇨🇿 🇫🇮

Meteor Harstadin yllä 2022-10-12 22:09:56 UTC

KML-tiedosto  |  Interaktiivinen kartta

Kartta näyttää meteorin suuntahavainnot. Vaaleammat viivat näyttävät suunnat havaintoasemilta meteorin ilmestyessä, ja tummemmat viivat näyttävät, missä se viimeksi nähtiin. Sininen nuoli näyttää meteorin näkyvän lennon.

static map
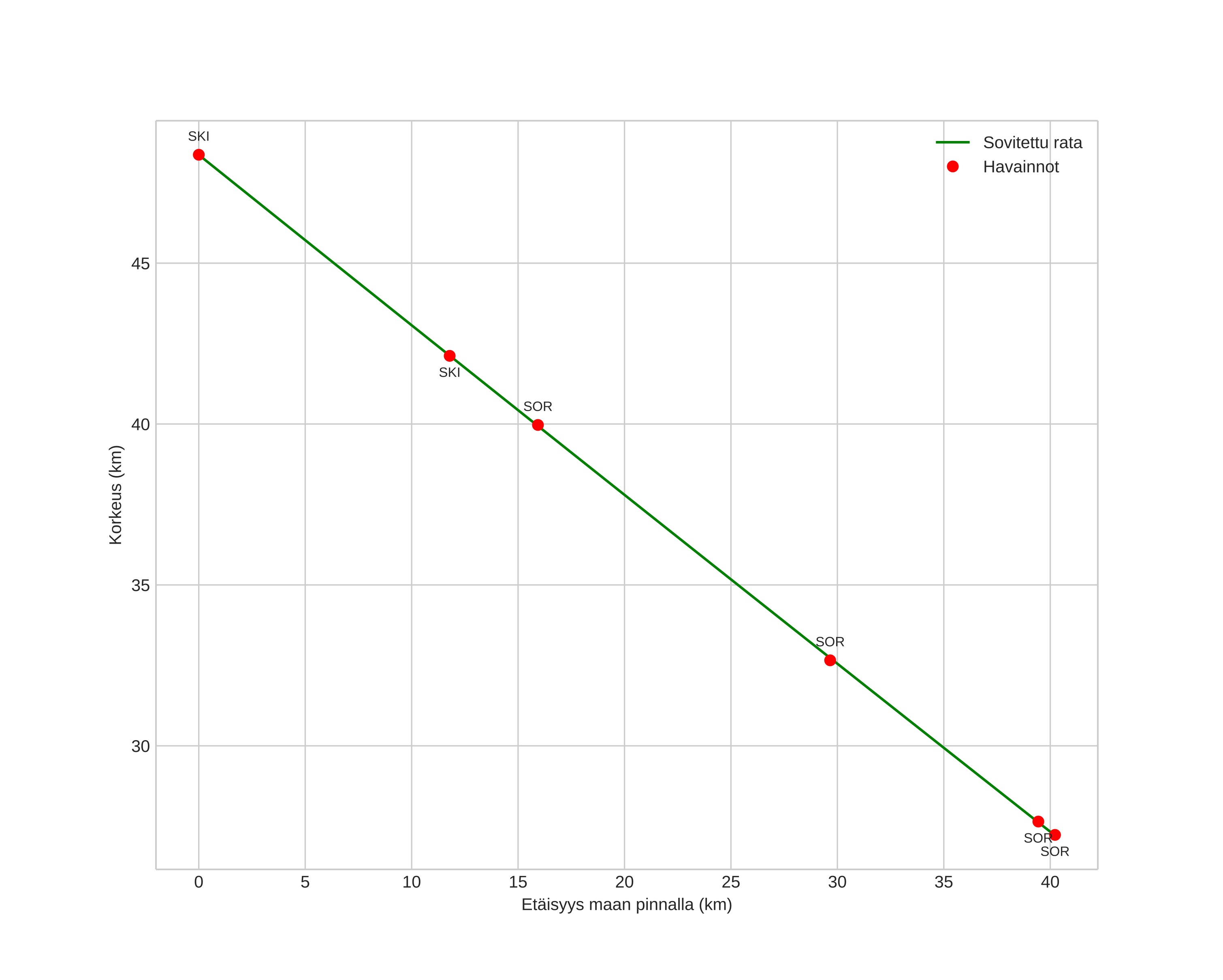
height profile
Meteorin ilmakehärata:
Alkukorkeus: 48,9 km
Loppukorkeus: 21,4 km
Alkupiste: 69,824N 16,636E
Loppupiste: 69,401N 16,799E
Suunta: 172,3°
Kallistuskulma: 30,1°
Tulonopeus: 30,5 km/s
Radiantin R,A,: 13:23 (200,9°)
Radiantin Dekl,: 47,8°
Meteoriparvi: Sporadinen
Meteoroidin rataelementit:
Perihelietäisyys: 0,698 AU
Eksentrisyys: 0,556
Inklinaatio: 45,2°
Nousevan solmun pituus: 199,3°
Perihelin argumentti: 99,2°
Keskianomalia: 24,9°
Epookki: 2022 OCT 12 22:09:56
orbit plot

Ei-interaktiivinen kuvaaja | Interaktiivinen kuvaaja

position vs time
speed and acceleration

Sorreisa (SOR) cam4

gnomonic
Videot:
• Alkuperäinen
Kuvat:
• Alkuperäinen
Tekstitiedostot:
• Havaintoraportti
• Observaatio
• Koordinaatit
• Virheilmoitukset
• Loki
Kirkkaus