🇳🇴 🇬🇧 🇩🇪 🇨🇿 🇫🇮

Meteor, poloha: Straume 2022-10-14 17:01:41 UTC

Soubor KML  |  InteraktivnĂ­ mapa

Mapa zobrazuje dráhy meteoru. Světlejší čáry ukazují směry od pozorovacích stanic při objevení se meteoru a tmavší čáry, kde byl naposledy viděn. Modrá šipka značí viditelnou dráhu meteoru.

static map
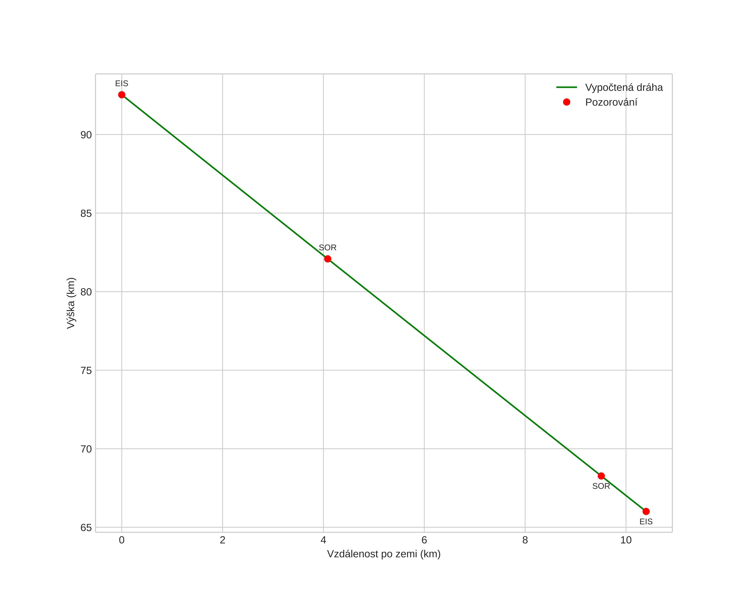
height profile
Atmosférická dráha meteoru:
Počáteční výška: 92,7 km
Konečná výška: 65,7 km
Počáteční poloha: 70,161N 13,845E
Konečná poloha: 70,122N 14,120E
Směr: 112,5°
Sklon: 67,4°
VstupnĂ­ rychlost: 36,1 km/s
Rektascenze radiantu: 15:09 (227,3°)
Deklinace radiantu: 66,1°
MeteorickĂ˝ roj: sporadickĂ˝
Elementy dráhy meteoroidu:
Vzdálenost v periheliu: 0,965 AU
Excentricita: 0,905
Sklon dráhy: 54,4°
Délka vzestupného uzlu: 201,0°
Argument perihelia: 158,7°
Střední anomálie: 0,5°
Epocha: 2022 OCT 14 17:01:41
orbit plot

NeinteraktivnĂ­ graf | InteraktivnĂ­ graf

position vs time
speed and acceleration