🇳🇴 🇬🇧 🇩🇪 🇨🇿 🇫🇮

Meteor Straumen yllä 2022-10-14 17:01:41 UTC

KML-tiedosto  |  Interaktiivinen kartta

Kartta näyttää meteorin suuntahavainnot. Vaaleammat viivat näyttävät suunnat havaintoasemilta meteorin ilmestyessä, ja tummemmat viivat näyttävät, missä se viimeksi nähtiin. Sininen nuoli näyttää meteorin näkyvän lennon.

static map
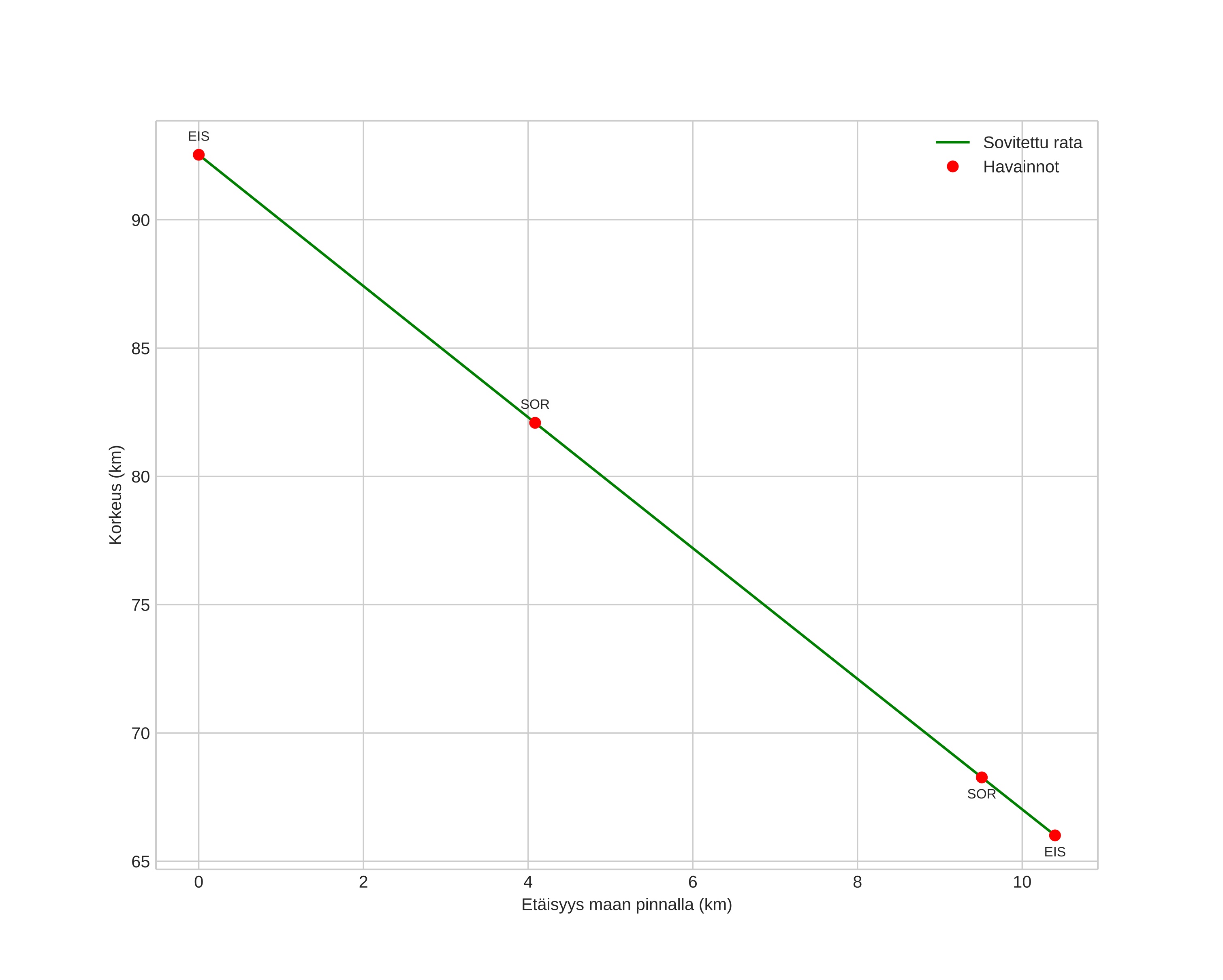
height profile
Meteorin ilmakehärata:
Alkukorkeus: 92,7 km
Loppukorkeus: 65,7 km
Alkupiste: 70,161N 13,845E
Loppupiste: 70,122N 14,120E
Suunta: 112,5°
Kallistuskulma: 67,4°
Tulonopeus: 36,1 km/s
Radiantin R,A,: 15:09 (227,3°)
Radiantin Dekl,: 66,1°
Meteoriparvi: Sporadinen
Meteoroidin rataelementit:
Perihelietäisyys: 0,965 AU
Eksentrisyys: 0,905
Inklinaatio: 54,4°
Nousevan solmun pituus: 201,0°
Perihelin argumentti: 158,7°
Keskianomalia: 0,5°
Epookki: 2022 OCT 14 17:01:41
orbit plot

Ei-interaktiivinen kuvaaja | Interaktiivinen kuvaaja

position vs time
speed and acceleration