🇳🇴 🇬🇧 🇩🇪 🇨🇿 🇫🇮

Meteor, poloha: Moen 2022-10-14 22:00:36 UTC

Soubor KML  |  InteraktivnĂ­ mapa

Mapa zobrazuje dráhy meteoru. Světlejší čáry ukazují směry od pozorovacích stanic při objevení se meteoru a tmavší čáry, kde byl naposledy viděn. Modrá šipka značí viditelnou dráhu meteoru.

static map
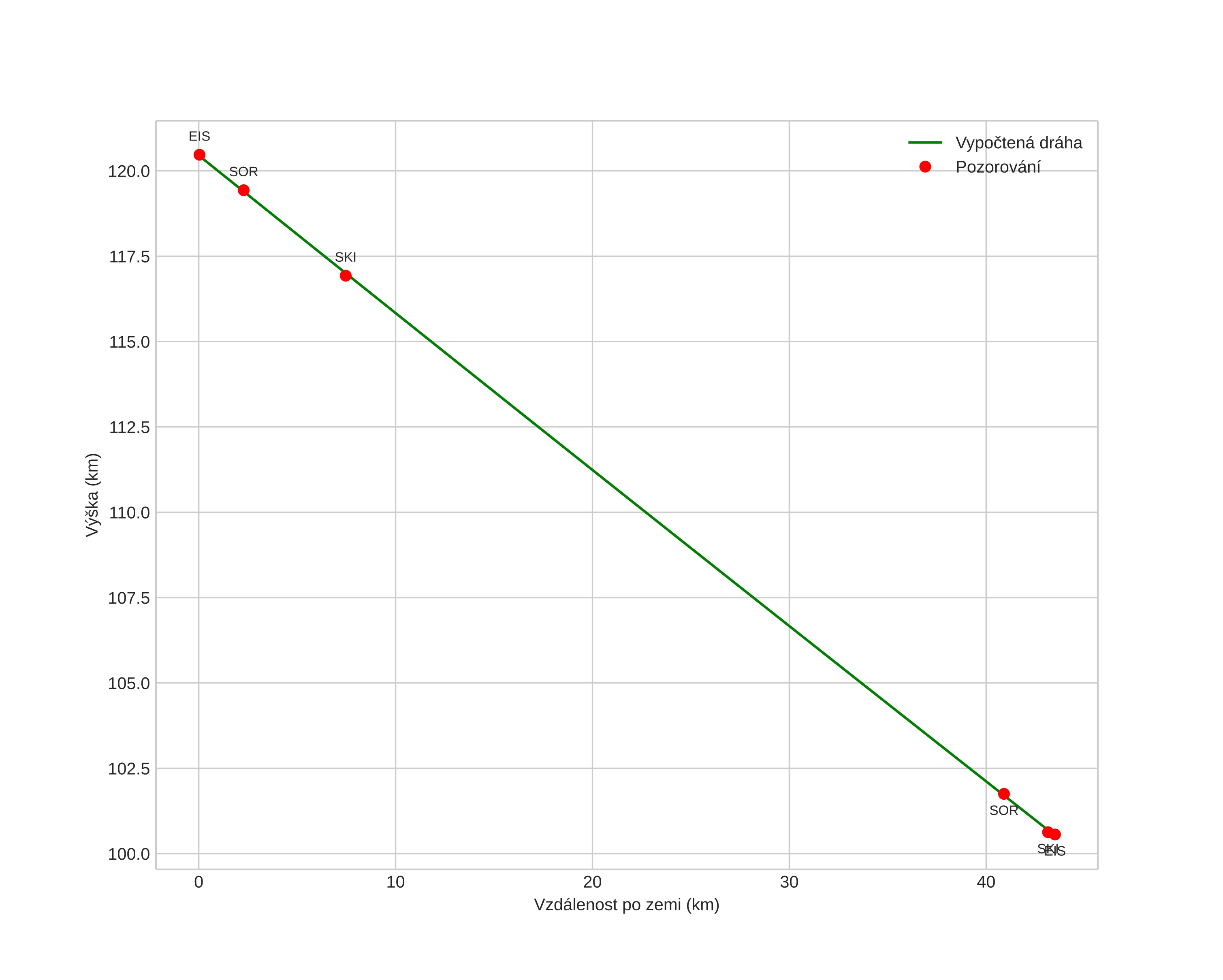
height profile
Atmosférická dráha meteoru:
Počáteční výška: 119,9 km
Konečná výška: 99,7 km
Počáteční poloha: 69,059N 19,987E
Konečná poloha: 69,029N 18,902E
Směr: 266,0°
Sklon: 25,0°
VstupnĂ­ rychlost: 73,0 km/s
Rektascenze radiantu: 06:29 (97,4°)
Deklinace radiantu: 24,3°
MeteorickĂ˝ roj: epsilon-geminidene
Elementy dráhy meteoroidu:
Vzdálenost v periheliu: 0,832 AU
Excentricita: 1,143
Sklon dráhy: 178,1°
Délka vzestupného uzlu: 201,3°
Argument perihelia: 226,5°
Střední anomálie: -1,9°
Epocha: 2022 OCT 14 22:00:36
orbit plot

NeinteraktivnĂ­ graf | InteraktivnĂ­ graf

position vs time
speed and acceleration