🇳🇴 🇬🇧 🇩🇪 🇨🇿 🇫🇮

Meteor über Moen 2022-10-14 22:00:36 UTC

KML-Datei  |  Interaktive Karte

Die Karte zeigt die Peilungen für den Meteor. Die helleren Linien zeigen die Richtungen von den Beobachtungsorten beim Erscheinen des Meteors, und die dunkleren Linien, wo er zuletzt gesehen wurde. Der blaue Pfeil zeigt die sichtbare Bahn des Meteors.

static map
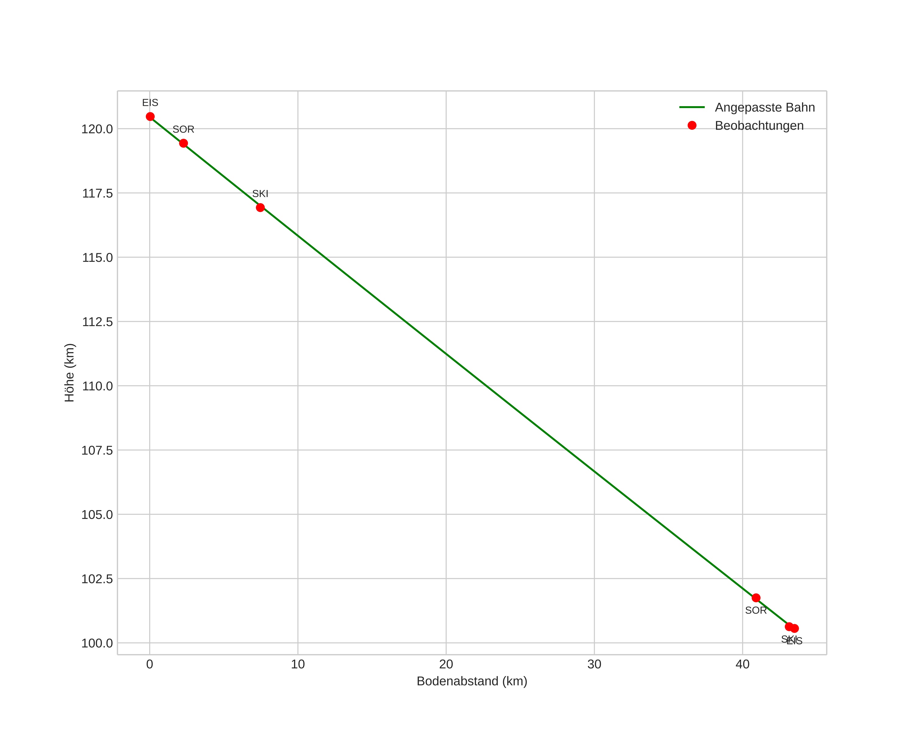
height profile
Atmosphärische Bahn des Meteors:
Anfangshöhe: 119,9 km
Endhöhe: 99,7 km
Startposition: 69,059N 19,987E
Endposition: 69,029N 18,902E
Richtung: 266,0°
Neigungswinkel: 25,0°
Eintrittsgeschwindigkeit: 73,0 km/s
Rektaszension des Radianten: 06:29 (97,4°)
Deklination des Radianten: 24,3°
Meteorstrom: epsilon-geminidene
Bahnelemente des Meteoroiden:
Periheldistanz: 0,832 AU
Exzentrizität: 1,143
Inklination: 178,1°
Länge des aufsteigenden Knotens: 201,3°
Argument des Perihels: 226,5°
Mittlere Anomalie: -1,9°
Epoche: 2022 OCT 14 22:00:36
orbit plot

Nicht-interaktives Diagramm | Interaktives Diagramm

position vs time
speed and acceleration