🇳🇴 🇬🇧 🇩🇪 🇨🇿 🇫🇮

Meteor, poloha: Kautokeino 2022-10-15 00:17:34 UTC

Soubor KML  |  InteraktivnĂ­ mapa

Mapa zobrazuje dráhy meteoru. Světlejší čáry ukazují směry od pozorovacích stanic při objevení se meteoru a tmavší čáry, kde byl naposledy viděn. Modrá šipka značí viditelnou dráhu meteoru.

static map
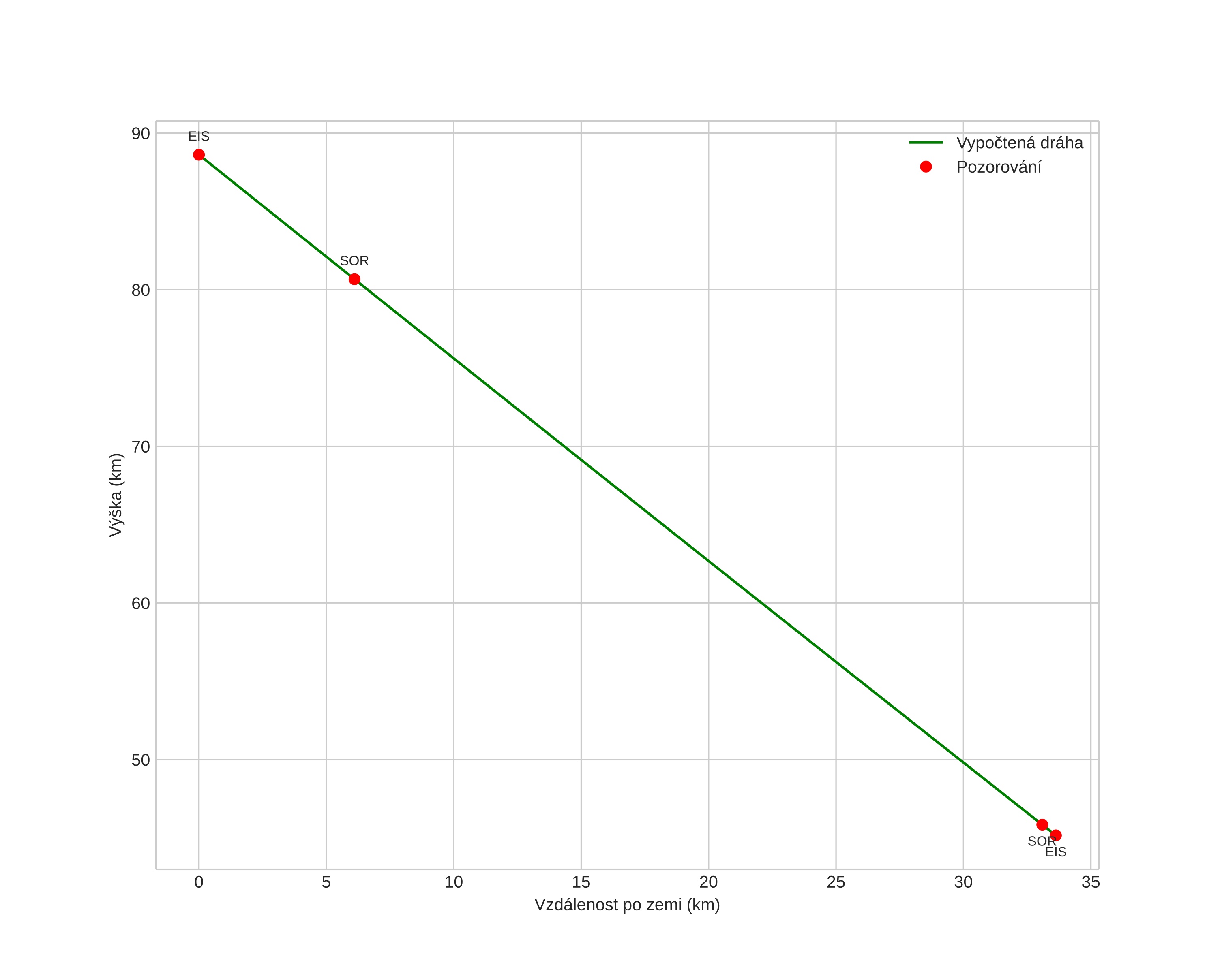
height profile
Atmosférická dráha meteoru:
Počáteční výška: 88,4 km
Konečná výška: 45,2 km
Počáteční poloha: 68,882N 22,191E
Konečná poloha: 68,827N 23,023E
Směr: 99,9°
Sklon: 51,9°
VstupnĂ­ rychlost: 20,2 km/s
Rektascenze radiantu: 22:14 (333,7°)
Deklinace radiantu: 47,0°
MeteorickĂ˝ roj: sporadickĂ˝
Elementy dráhy meteoroidu:
Vzdálenost v periheliu: 0,899 AU
Excentricita: 0,616
Sklon dráhy: 21,9°
Délka vzestupného uzlu: 201,3°
Argument perihelia: 222,2°
Střední anomálie: 351,5°
Epocha: 2022 OCT 15 00:17:34
orbit plot

NeinteraktivnĂ­ graf | InteraktivnĂ­ graf

position vs time
speed and acceleration