🇳🇴 🇬🇧 🇩🇪 🇨🇿 🇫🇮

Meteor Kautokeinon yllä 2022-10-15 00:17:34 UTC

KML-tiedosto  |  Interaktiivinen kartta

Kartta näyttää meteorin suuntahavainnot. Vaaleammat viivat näyttävät suunnat havaintoasemilta meteorin ilmestyessä, ja tummemmat viivat näyttävät, missä se viimeksi nähtiin. Sininen nuoli näyttää meteorin näkyvän lennon.

static map
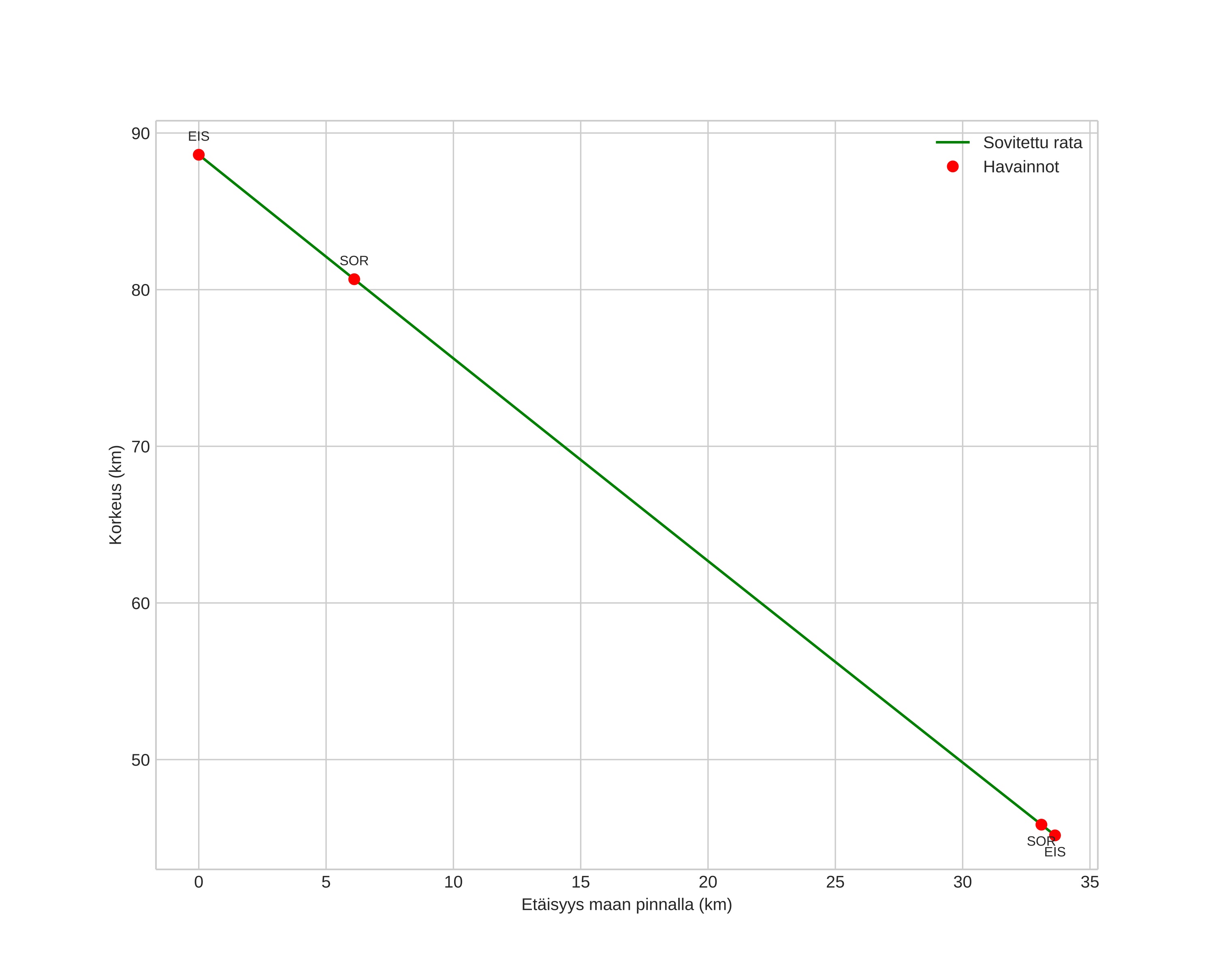
height profile
Meteorin ilmakehärata:
Alkukorkeus: 88,4 km
Loppukorkeus: 45,2 km
Alkupiste: 68,882N 22,191E
Loppupiste: 68,827N 23,023E
Suunta: 99,9°
Kallistuskulma: 51,9°
Tulonopeus: 20,2 km/s
Radiantin R,A,: 22:14 (333,7°)
Radiantin Dekl,: 47,0°
Meteoriparvi: Sporadinen
Meteoroidin rataelementit:
Perihelietäisyys: 0,899 AU
Eksentrisyys: 0,616
Inklinaatio: 21,9°
Nousevan solmun pituus: 201,3°
Perihelin argumentti: 222,2°
Keskianomalia: 351,5°
Epookki: 2022 OCT 15 00:17:34
orbit plot

Ei-interaktiivinen kuvaaja | Interaktiivinen kuvaaja

position vs time
speed and acceleration