🇳🇴 🇬🇧 🇩🇪 🇨🇿 🇫🇮

Meteor, poloha: Myre 2022-10-15 02:24:18 UTC

Soubor KML  |  InteraktivnĂ­ mapa

Mapa zobrazuje dráhy meteoru. Světlejší čáry ukazují směry od pozorovacích stanic při objevení se meteoru a tmavší čáry, kde byl naposledy viděn. Modrá šipka značí viditelnou dráhu meteoru.

static map
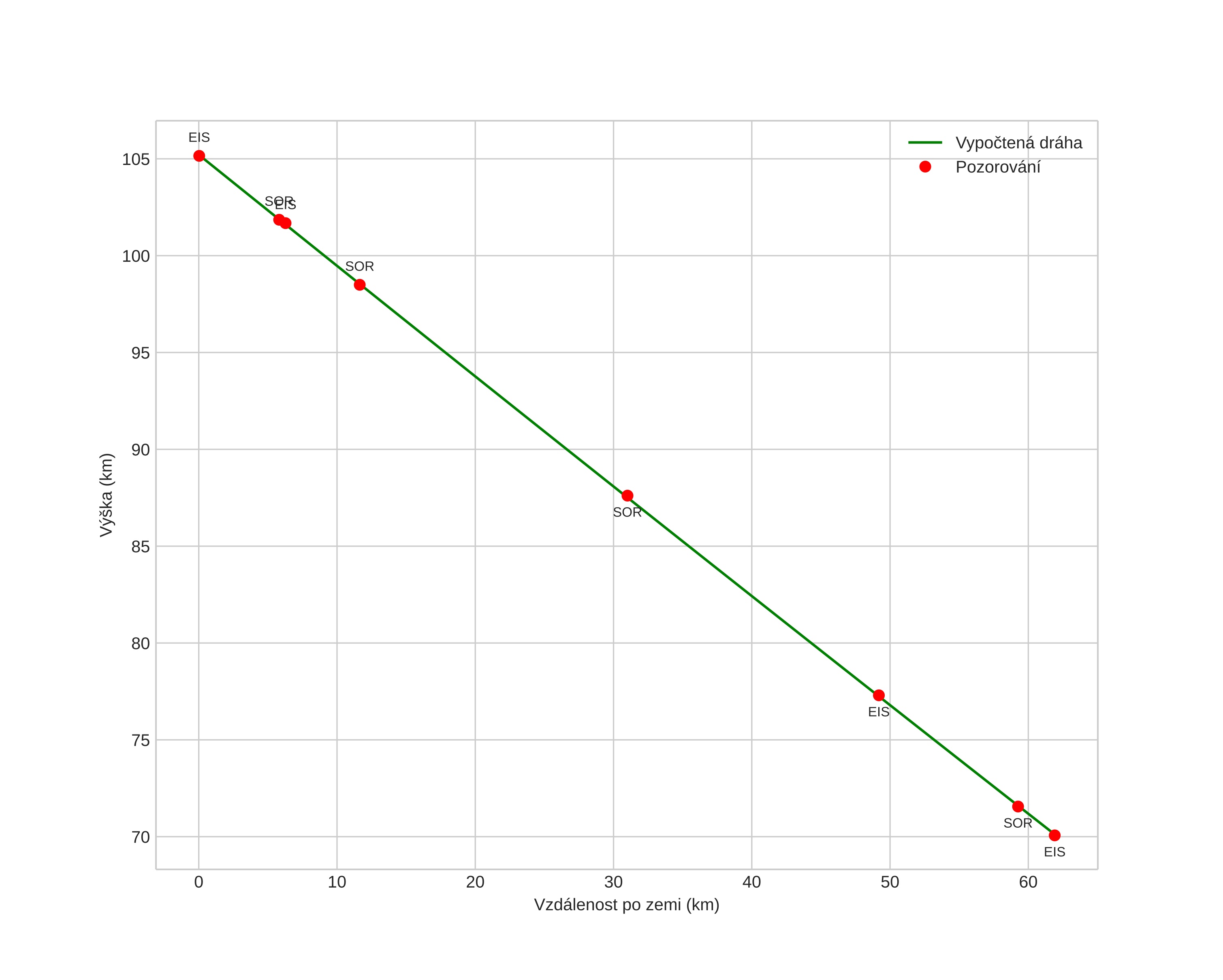
height profile
Atmosférická dráha meteoru:
Počáteční výška: 103,6 km
Konečná výška: 71,6 km
Počáteční poloha: 68,894N 14,750E
Konečná poloha: 69,289N 15,687E
Směr: 39,8°
Sklon: 29,1°
VstupnĂ­ rychlost: 32,0 km/s
Rektascenze radiantu: 02:33 (38,4°)
Deklinace radiantu: 10,0°
MeteorickĂ˝ roj: JiĹľnĂ­ Tauridy
Elementy dráhy meteoroidu:
Vzdálenost v periheliu: 0,263 AU
Excentricita: 0,852
Sklon dráhy: 7,0°
Délka vzestupného uzlu: 21,4°
Argument perihelia: 126,9°
Střední anomálie: 342,8°
Epocha: 2022 OCT 15 02:24:18
orbit plot

NeinteraktivnĂ­ graf | InteraktivnĂ­ graf

position vs time
speed and acceleration