🇳🇴 🇬🇧 🇩🇪 🇨🇿 🇫🇮

Meteor Myren yllä 2022-10-15 02:24:18 UTC

KML-tiedosto  |  Interaktiivinen kartta

Kartta näyttää meteorin suuntahavainnot. Vaaleammat viivat näyttävät suunnat havaintoasemilta meteorin ilmestyessä, ja tummemmat viivat näyttävät, missä se viimeksi nähtiin. Sininen nuoli näyttää meteorin näkyvän lennon.

static map
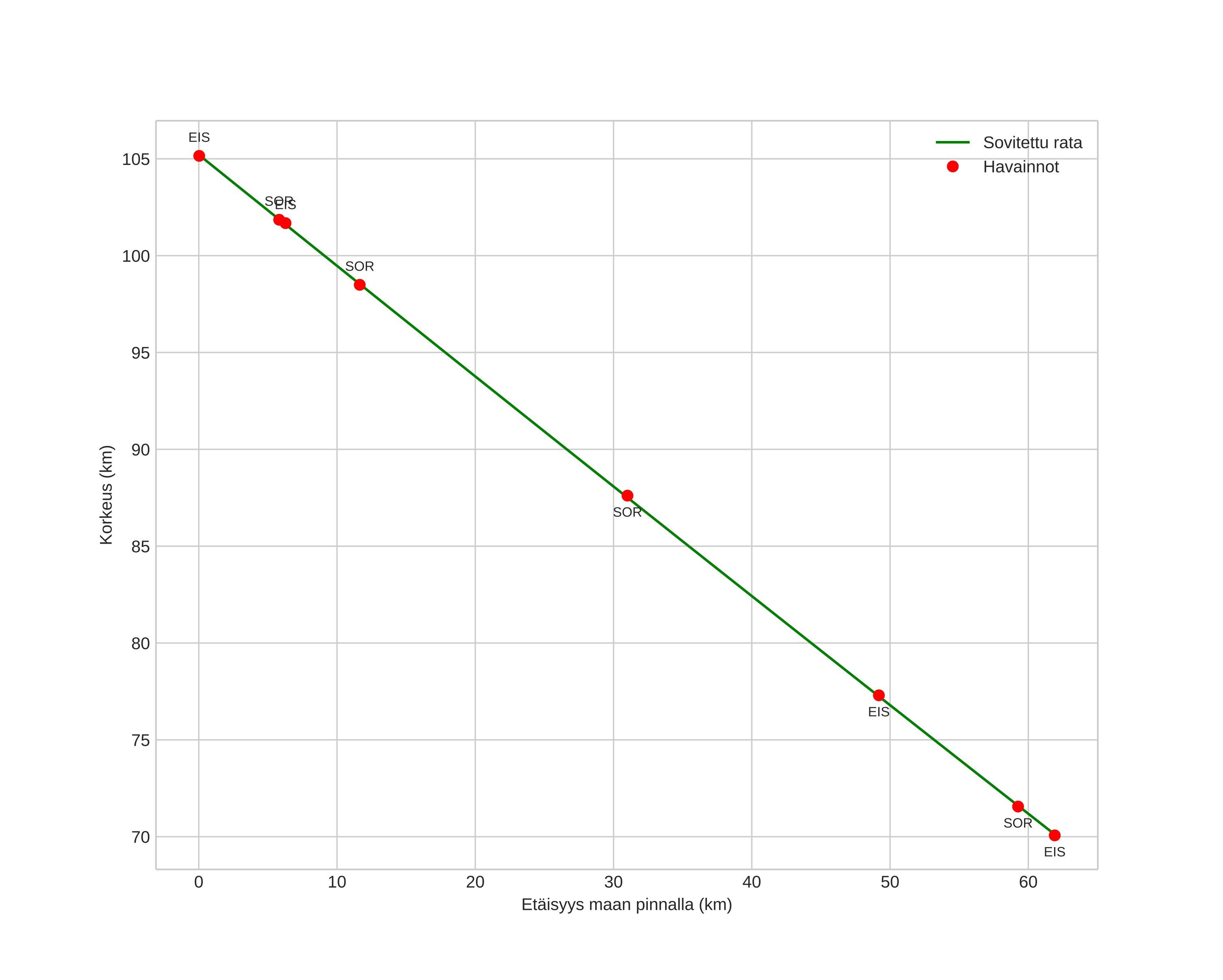
height profile
Meteorin ilmakehärata:
Alkukorkeus: 103,6 km
Loppukorkeus: 71,6 km
Alkupiste: 68,894N 14,750E
Loppupiste: 69,289N 15,687E
Suunta: 39,8°
Kallistuskulma: 29,1°
Tulonopeus: 32,0 km/s
Radiantin R,A,: 02:33 (38,4°)
Radiantin Dekl,: 10,0°
Meteoriparvi: Eteläiset tauridit
Meteoroidin rataelementit:
Perihelietäisyys: 0,263 AU
Eksentrisyys: 0,852
Inklinaatio: 7,0°
Nousevan solmun pituus: 21,4°
Perihelin argumentti: 126,9°
Keskianomalia: 342,8°
Epookki: 2022 OCT 15 02:24:18
orbit plot

Ei-interaktiivinen kuvaaja | Interaktiivinen kuvaaja

position vs time
speed and acceleration