🇳🇴 🇬🇧 🇩🇪 🇨🇿 🇫🇮

Meteor, poloha: Bruflat 2022-10-18 22:58:43 UTC

Soubor KML  |  InteraktivnĂ­ mapa

Mapa zobrazuje dráhy meteoru. Světlejší čáry ukazují směry od pozorovacích stanic při objevení se meteoru a tmavší čáry, kde byl naposledy viděn. Modrá šipka značí viditelnou dráhu meteoru.

static map
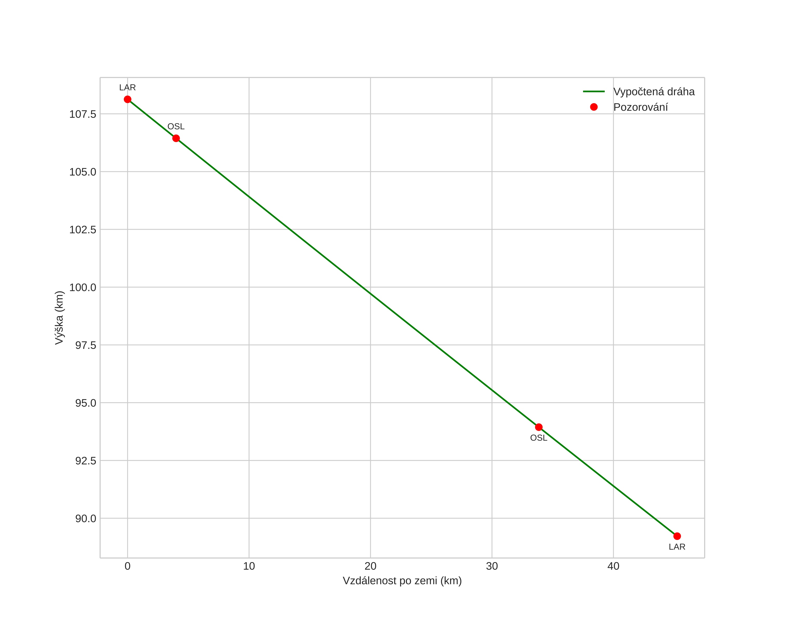
height profile
Atmosférická dráha meteoru:
Počáteční výška: 108,1 km
Konečná výška: 89,1 km
Počáteční poloha: 60,611N 10,555E
Konečná poloha: 60,685N 9,734E
Směr: 280,8°
Sklon: 22,7°
VstupnĂ­ rychlost: 65,4 km/s
Rektascenze radiantu: 06:07 (91,9°)
Deklinace radiantu: 14,1°
MeteorickĂ˝ roj: Orionidy
Elementy dráhy meteoroidu:
Vzdálenost v periheliu: 0,543 AU
Excentricita: 0,867
Sklon dráhy: 159,7°
Délka vzestupného uzlu: 25,2°
Argument perihelia: 88,8°
Střední anomálie: 355,0°
Epocha: 2022 OCT 18 22:58:43
orbit plot

NeinteraktivnĂ­ graf | InteraktivnĂ­ graf

position vs time
speed and acceleration